М
Молодежь
К
Компьютеры-и-электроника
Д
Дом-и-сад
С
Стиль-и-уход-за-собой
П
Праздники-и-традиции
Т
Транспорт
П
Путешествия
С
Семейная-жизнь
Ф
Философия-и-религия
Б
Без категории
М
Мир-работы
Х
Хобби-и-рукоделие
И
Искусство-и-развлечения
В
Взаимоотношения
З
Здоровье
К
Кулинария-и-гостеприимство
Ф
Финансы-и-бизнес
П
Питомцы-и-животные
О
Образование
О
Образование-и-коммуникации
taotourp00p0i
taotourp00p0i
19.10.2022 05:52 •  Математика

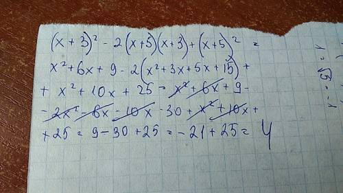
Найдите значение выражения: (х+3)^2-2(х+5)*(х+3)+(х+5)^2

👇
Ответ:
Каркушааа
Каркушааа
19.10.2022
(х+3)^2-2(х+5)*(х+3)+(х+5)^2 = ((x+3)-(x+5))^2 = (x+3-x-5)^2 = (-2)^2 = 4
4,5(17 оценок)
Ответ:
Тёна333
Тёна333
19.10.2022
))))))))))))))))))))))))))))))))))))))))))))))))))))))))))))))))))
Найдите значение выражения: (х+3)^2-2(х+5)*(х+3)+(х+5)^2
4,7(84 оценок)
Открыть все ответы
Ответ:
ариана54091
ариана54091
19.10.2022
№1. Даны числа: 1724 , 3965 ,7200, 1134.
а) Признак делимости на  2 :
Если число чётное (заканчивается на 0,2,4,6,8) , то число делится на 2 без остатка.
ответ: 1724 , 7200 , 1134.
б) Признак делимости на 3:
Если сумма цифр числа делится на 3 без остатка , то и всё число делится на 3 без остатка.
1+7+2+4 = 14   ⇒   14:3 = 4 (ост.2) ⇒ не делится на 3.
3 + 9 +6 +5 = 23 ⇒  23:3 = 7 (ост.2) ⇒ не делится на 3.
7 + 2 + 0 + 0 = 9 ⇒ 9:3 = 3 ⇒  делится на 3.
1+1+3+4 = 9    ⇒ 9 :3  = 3 ⇒  делится на 3.
ответ:  7200 ,  1134.
в) Признак делимости на  5 :
Если  последняя цифра числа  0 или 5 ⇒ число делится на  5  без остатка.
ответ :  7200  , 3965.

№2.
а)  
324  ⇒ делится на 2 и 3  [  3+2+4= 9 ]  ⇒ делится на 6  [2*3=6]
438  ⇒ делится на 2 и 3  [ 4+3+8 = 15] ⇒ делится на  6  [2*3=6]
Сократим дробь:
324/438 = (324:6) / (438 :6 )  =  54/73

б) 
260 ⇒  делится на 2 и 5  ⇒ делится на 10 [2*5=10]
870 ⇒  делится на 2 ,3 и  5  ⇒ делится на 10 [2*5 = 10]
260/870 = 26/87

№4.
Каждое число в сумме делится на 3 ⇒ сумма делится на 3
42 +21+ 6 = 3*14 + 3*7 + 3*2 = 3*(14+7+2) = 3*23
ответ: да, можно сделать  3 одинаковых букета по  23 цветка (14 тюльпанов, 7 нарциссов, 2 мимозы).

№5.
18ab  / (6a)   = (6а * 3b)/6a  =  3b/1 = 3b

№6.
Было :
I склад       х  т
II склад     (450-х) т

Стало:
I склад       (х -75) т
II склад      (450 - х + 75 ) = (525 - х ) т
Зная , что на II  складе  овощей стало в 2 раза больше , составим уравнение:
(525-х) / (х-75)  = 2
2(х-75) = 525-х
2х - 150  = 525 - х 
2х +х  = 525+150
3х= 675 
х= 675/3
х= 225  (т)  было на I складе 
450 - 225 = 225 (т) было на  II складе 
Проверим:
(225 +75)  / (225-75)  = 300/150 =  2 (раза)
ответ:   по 225 т овощей было на каждом складе первоначально.
4,8(3 оценок)
Ответ:
Stepanych2017
Stepanych2017
19.10.2022
№1. Даны числа: 1724 , 3965 ,7200, 1134.
а) Признак делимости на  2 :
Если число чётное (заканчивается на 0,2,4,6,8) , то число делится на 2 без остатка.
ответ: 1724 , 7200 , 1134.
б) Признак делимости на 3:
Если сумма цифр числа делится на 3 без остатка , то и всё число делится на 3 без остатка.
1+7+2+4 = 14   ⇒   14:3 = 4 (ост.2) ⇒ не делится на 3.
3 + 9 +6 +5 = 23 ⇒  23:3 = 7 (ост.2) ⇒ не делится на 3.
7 + 2 + 0 + 0 = 9 ⇒ 9:3 = 3 ⇒  делится на 3.
1+1+3+4 = 9    ⇒ 9 :3  = 3 ⇒  делится на 3.
ответ:  7200 ,  1134.
в) Признак делимости на  5 :
Если  последняя цифра числа  0 или 5 ⇒ число делится на  5  без остатка.
ответ :  7200  , 3965.

№2.
а)  
324  ⇒ делится на 2 и 3  [  3+2+4= 9 ]  ⇒ делится на 6  [2*3=6]
438  ⇒ делится на 2 и 3  [ 4+3+8 = 15] ⇒ делится на  6  [2*3=6]
Сократим дробь:
324/438 = (324:6) / (438 :6 )  =  54/73

б) 
260 ⇒  делится на 2 и 5  ⇒ делится на 10 [2*5=10]
870 ⇒  делится на 2 ,3 и  5  ⇒ делится на 10 [2*5 = 10]
260/870 = 26/87

№4.
Каждое число в сумме делится на 3 ⇒ сумма делится на 3
42 +21+ 6 = 3*14 + 3*7 + 3*2 = 3*(14+7+2) = 3*23
ответ: да, можно сделать  3 одинаковых букета по  23 цветка (14 тюльпанов, 7 нарциссов, 2 мимозы).

№5.
18ab  / (6a)   = (6а * 3b)/6a  =  3b/1 = 3b

№6.
Было :
I склад       х  т
II склад     (450-х) т

Стало:
I склад       (х -75) т
II склад      (450 - х + 75 ) = (525 - х ) т
Зная , что на II  складе  овощей стало в 2 раза больше , составим уравнение:
(525-х) / (х-75)  = 2
2(х-75) = 525-х
2х - 150  = 525 - х 
2х +х  = 525+150
3х= 675 
х= 675/3
х= 225  (т)  было на I складе 
450 - 225 = 225 (т) было на  II складе 
Проверим:
(225 +75)  / (225-75)  = 300/150 =  2 (раза)
ответ:   по 225 т овощей было на каждом складе первоначально.
4,4(62 оценок)
Это интересно:
Новые ответы от MOGZ: Математика
logo
Вход Регистрация
Что ты хочешь узнать?
Спроси Mozg
Открыть лучший ответ