М
Молодежь
К
Компьютеры-и-электроника
Д
Дом-и-сад
С
Стиль-и-уход-за-собой
П
Праздники-и-традиции
Т
Транспорт
П
Путешествия
С
Семейная-жизнь
Ф
Философия-и-религия
Б
Без категории
М
Мир-работы
Х
Хобби-и-рукоделие
И
Искусство-и-развлечения
В
Взаимоотношения
З
Здоровье
К
Кулинария-и-гостеприимство
Ф
Финансы-и-бизнес
П
Питомцы-и-животные
О
Образование
О
Образование-и-коммуникации
makc0001
makc0001
21.10.2020 11:51 •  Математика

Cos 13x * cos 2x - sin 13x * sin 2x =0

👇
Ответ:
dasha20079
dasha20079
21.10.2020
Cos 13x * cos 2x - sin 13x * sin 2x =0

cos 15x = 0

15x=π\2 +kπ

15x=3π\2 +kπ

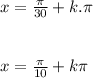
x=\frac{\pi}{30}+k.\pi \\ \\ \\ x=\frac{\pi}{10} +k\pi


{k€Z}

Good luck :)

Turkey/BL
4,6(42 оценок)
Открыть все ответы
Ответ:
yuliandra
yuliandra
21.10.2020
Как найти наименьший общий знаменатель
Для сложения или вычитания дробей с разными знаменателями сначала необходимо найти их наименьший общий знаменатель (НОЗ). Таким числом будет наименьшее общее кратное (НОК) двух или более знаменателей. Вот несколько различных методов для вычисления НОЗ и информация о том, как подставить НОЗ обратно в уравнение для решения задачи.

Реклама
Править
Метод 1 из 4:
Перечисление кратных [1]

1
Перечислите кратные каждого знаменателя. Составьте список из нескольких кратных для каждого знаменателя в уравнении. Каждый список должен состоять из произведения знаменателя на 1, 2, 3, 4 и так далее.
Пример: 1/2 + 1/3 + 1/5
Кратные 2: 2 * 1 = 2; 2 * 2 = 4; 2 * 3 = 6; 2 * 4 = 8; 2 * 5 = 10; 2 * 6 = 12; 2 * 7 = 14; т.д.
Кратные 3: 3 * 1 = 3; 3 * 2 = 6; 3 *3 = 9; 3 * 4 = 12; 3 * 5 = 15; 3 * 6 = 18; 3 * 7 = 21; т.д.
Кратные 5: 5 * 1 = 5; 5 * 2 = 10; 5 * 3 = 15; 5 * 4 = 20; 5 * 5 = 25; 5 * 6 = 30; 5 * 7 = 35; т.д.

2
Определите наименьшее общее кратное. Просмотрите каждый список и отметьте любые кратные числа, которые являются общими для каждого оригинального знаменателя. После выявления общих кратных определите наименьший знаменатель.
Обратите внимание, что если не найден общий знаменатель, возможно, потребуется продолжить выписывать кратные до тех пор, пока не появится общее кратное число.
Пример: 2 * 15 = 30; 3 * 10 = 30; 5 * 6 = 30
НОЗ = 30

3
Перепишите исходное уравнение. Числители будут равны произведению на число, равное частному от деления НОЗ на соответствующий знаменатель.
Пример: 15 * (1/2); 10 * (1/3); 6 * (1/5)
Новое уравнение: 15/30 + 10/30 + 6/30

4
Решите. После нахождения НОЗ и изменения соответствующих дробей, просто вычислите значение этого сложения.
Пример: 15/30 + 10/30 + 6/30 = 31/30 = 1 1/30
Реклама
Править
Метод 2 из 4:
Использование наибольшего общего делителя[2]

1
Вычислите наибольший общий делитель (НОД) для каждого знаменателя. Найдите НОД через перечисление возможных делителей каждого знаменателя.
Пример: 3/8 + 5/12
Делители 8: 1, 2, 4, 8
Делители 12: 1, 2, 3, 4, 6, 12
НОД: 4

2
Перемножьте знаменатели между собой.
Пример: 8 * 12 = 96

3
Разделите полученное значение на НОД. Полученное число будет наименьшим общим знаменателем (НОЗ).
Пример: 96 / 4 = 24

4
Перепишите исходное уравнение. Числители будут равны произведению на число, равное частному от деления НОЗ на соответствующий знаменатель.
Пример: 24 / 8 = 3; 24 / 12 = 2
3 * (3/8) = 9/24; 2 * (5/12) = 10/24
9/24 + 10/24

5
Решите уравнение. НОЗ найден; просто найдите значение этой суммы.
Пример: 9/24 + 10/24 = 19/24
Реклама
Править
Метод 3 из 4:
Разложение каждого знаменателя на простые множители[3]

1
Разложите каждый знаменатель на простые множители. Напомним, что простые множители – числа, которые делятся только на 1 или самих себя.
Пример: 1/4 + 1/5 + 1/12
Простые множители 4: 2 * 2
Простые множители 5: 5
Простые множители 12: 2 * 2 * 3

2
Подсчитайте число раз каждый простой множитель есть у каждого знаменателя.
Пример: Есть две 2 для знаменателя 4; нуль 2 для 5; две 2 для 12
Есть нуль 3 для 4 и 5; одна 3 для 12
Есть нуль 5 для 4 и 12; отдна 5 для 5

3
Возьмите только наибольшее число раз (эти множители есть в любом знаменателе) для каждого простого множителя.
Например: наибольшее число раз для множителя 2 - 2 раза; для 3 – 1 раз; для 5 – 1 раз.

4
Запишите по порядку найденные в предыдущем шаге простые множители (с учетом наибольшего числа раз).
Пример: 2, 2, 3, 5

5
Перемножьте эти числа. Результат произведения этих чисел равно НОЗ.
Пример: 2 * 2 * 3 * 5 = 60
НОЗ = 60

6
Перепишите исходное уравнение. Числители будут равны произведению на число, равное частному от деления НОЗ на соответствующий знаменатель.
Пример: 60/4 = 15; 60/5 = 12; 60/12 = 5
15 * (1/4) = 15/60; 12 * (1/5) = 12/60; 5 * (1/12) = 5/60
15/60 + 12/60 + 5/60

7
Решите.
Пример: 15/60 + 12/60 + 5/60 = 32/60 = 8/15
Реклама
Править
Метод 4 из 4:
Работа со смешанными числами[4]

1
Преобразуйте каждое смешанное число в неправильную дробь. Для этого умножте...Дальше не помню ((( Чем смогла Найди нужный параграф и читай:)
4,4(20 оценок)
Ответ:
Dan4ik7211
Dan4ik7211
21.10.2020
Если схема расположения городов такова: Тараз-Шу-Алматы-Луговая, то решение будет

538,8 км - 232,2 км = 306,6 км ( от Шу до Алматы)
421 3/5 км = 421,6 км (от Луговая до Алматы)
421,6 км + 306,6 км = 728,2 км (от Луговой до Шу)
ответ: от станции Луговая до станции Шу 728,2 км

Если схема расположения городов (я же не настолько знаю географию) такова:
Тараз-Луговая-Шу-Алматы, то
538,8 км - 232,2 км = 306,6 км (от Шу до Алматы)
421 3/5 км=421,6 км (от Луговая до Алматы)
421,6 км - 306,6 км = 115 км
ответ: от станции Луговая до станции Шу 115 км
4,7(93 оценок)
Новые ответы от MOGZ: Математика
logo
Вход Регистрация
Что ты хочешь узнать?
Спроси Mozg
Открыть лучший ответ