М
Молодежь
К
Компьютеры-и-электроника
Д
Дом-и-сад
С
Стиль-и-уход-за-собой
П
Праздники-и-традиции
Т
Транспорт
П
Путешествия
С
Семейная-жизнь
Ф
Философия-и-религия
Б
Без категории
М
Мир-работы
Х
Хобби-и-рукоделие
И
Искусство-и-развлечения
В
Взаимоотношения
З
Здоровье
К
Кулинария-и-гостеприимство
Ф
Финансы-и-бизнес
П
Питомцы-и-животные
О
Образование
О
Образование-и-коммуникации
lover3
lover3
23.03.2023 22:33 •  Математика

Решите иррациональное уравнение: корень из х^2+2x+10=2x-1

👇
Ответ:
228Aimer228
228Aimer228
23.03.2023
\sqrt{x^2+2x+10}=2x-1;
(\sqrt{x^2+2x+10})^2=(2x-1)^2;
x^2+2x+10}=4x^2-4x+1;
x^2+2x+10-4x^2+4x-1=0;
-3x^2+6x+9=0;
x^2-2x-3=0;
D=b^2-4ac=(-2)^2-4*1*(-3)=16,D\ \textgreater \ 0;
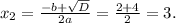
x_{1}= \frac{-b- \sqrt{D} }{2a} =\frac{2-4 }{2}=-1;
x_{2}= \frac{-b+ \sqrt{D} }{2a} = \frac{2+4}{2} =3.
ответ : x=-1,x=3
4,8(47 оценок)
Открыть все ответы
Ответ:
I. 52*2=104 км - проедет автомобиль за 2ч из пункта в 40*2=80 км - проедет мотоциклист за 2 ч из пункта а 1) а -> < -б на встречу, значит: 320-104-80=136 км - расстояние между ними. 2) в противоположные: < - а в -> 320+104+80=504 км 3) в догонку: < - а < - в ( т.к. скорость автомобиля больше, то он догоняет) 320-104+80=296 км 4) с отставанием: а -> в -> (т.к. скорость мотоциклиста меньше, он и отстает) 320-80+104=344 км ответ: 134км, 504км, 296км, 344км; ii) а -> в -> 5*3=15 км - прошел пешеход за 3ч 12*3=36 км - проехал велосипедист за 3ч 21-36+15=0 км - расстояние между ними через 3ч ответ: 0км; iii) а -> в-> пусть t - время, через которое велосипедист догонит пешехода 11*t - проехал велосипедист 5*t - прошел пешеход из условия получаем: 11*t = 5*t + 24 - т.к. чтоб догнать пешехода нужно проехать и путь пешехода и расстояние между колхозами 11t =5t + 24 11t - 5t = 24 6t= 24 t= 24/6 = 4ч - через 4ч велосипедист догонит пешехода. ответ: 4ч
4,4(19 оценок)
Ответ:
frazka228
frazka228
23.03.2023
I. 52*2=104 км - проедет автомобиль за 2ч из пункта в 40*2=80 км - проедет мотоциклист за 2 ч из пункта а 1) а -> < -б на встречу, значит: 320-104-80=136 км - расстояние между ними. 2) в противоположные: < - а в -> 320+104+80=504 км 3) в догонку: < - а < - в ( т.к. скорость автомобиля больше, то он догоняет) 320-104+80=296 км 4) с отставанием: а -> в -> (т.к. скорость мотоциклиста меньше, он и отстает) 320-80+104=344 км ответ: 134км, 504км, 296км, 344км; ii) а -> в -> 5*3=15 км - прошел пешеход за 3ч 12*3=36 км - проехал велосипедист за 3ч 21-36+15=0 км - расстояние между ними через 3ч ответ: 0км; iii) а -> в-> пусть t - время, через которое велосипедист догонит пешехода 11*t - проехал велосипедист 5*t - прошел пешеход из условия получаем: 11*t = 5*t + 24 - т.к. чтоб догнать пешехода нужно проехать и путь пешехода и расстояние между колхозами 11t =5t + 24 11t - 5t = 24 6t= 24 t= 24/6 = 4ч - через 4ч велосипедист догонит пешехода. ответ: 4ч
4,5(31 оценок)
Это интересно:
Новые ответы от MOGZ: Математика
logo
Вход Регистрация
Что ты хочешь узнать?
Спроси Mozg
Открыть лучший ответ