М
Молодежь
К
Компьютеры-и-электроника
Д
Дом-и-сад
С
Стиль-и-уход-за-собой
П
Праздники-и-традиции
Т
Транспорт
П
Путешествия
С
Семейная-жизнь
Ф
Философия-и-религия
Б
Без категории
М
Мир-работы
Х
Хобби-и-рукоделие
И
Искусство-и-развлечения
В
Взаимоотношения
З
Здоровье
К
Кулинария-и-гостеприимство
Ф
Финансы-и-бизнес
П
Питомцы-и-животные
О
Образование
О
Образование-и-коммуникации
Finnwolfhardd
Finnwolfhardd
10.10.2020 17:14 •  Математика

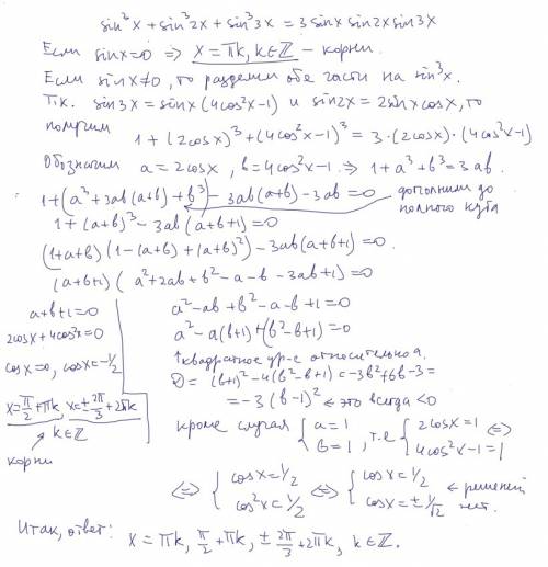
Я решите уравнение sin^3(x)+sin^3(2x)+sin^3(3x)=3*sinx*sin2x*sin3x

👇
Ответ:
artem28
artem28
10.10.2020
Решение прицеплено в картинке

Я решите уравнение sin^3(x)+sin^3(2x)+sin^3(3x)=3*sinx*sin2x*sin3x
4,5(54 оценок)
Открыть все ответы
Ответ:
fira2010f
fira2010f
10.10.2020

решение слау методом гаусса

решение слау методом гаусса.

запишем систему в виде расширенной матрицы:

1 -2 -1|3

2 1 -3|0

3 3 -6|1

умножим 1-ю строку на (2). умножим 2-ю строку на (-1). добавим 2-ю строку к 1-й:

0 -5 1|6

2 1 -3|0

3 3 -6|1

умножим 2-ю строку на (3). умножим 3-ю строку на (-2). добавим 3-ю строку к 2-й:

0 -5 1 | 6

0 -3 3 | -2

3 3 -6 | 1

умножим 1-ю строку на (3). умножим 2-ю строку на (-5). добавим 2-ю строку к 1-й:

0 0 -12|28

0 -3 3|-2

3 3 -6|1

теперь исходную систему можно записать так:

x3 = 28/(-12)

x2 = [-2 - (3x3)]/(-3)

x1 = [1 - (3x2 - 6x3)]/3

из 1-й строки выражаем x3

x3=28/-12=-2.33

из 2-й строки выражаем x2

x2=)-2-3(-2.33)) /-3= 5/-3=-1.67

из 3-й строки выражаем x1

x1=(1-3(-1.67)-(-6)(-2.33))/3=-8/3=2.67

4,8(50 оценок)
Ответ:
Anya2587
Anya2587
10.10.2020

Та́нго (исп. tango) — аргентинский народный танец; парный танец свободной композиции, отличающийся энергичным и четким ритмом[1]. Изначально исполнялся исключительно мужчинами.

Сперва получил развитие и распространение в Аргентине, затем стал популярен во всем мире. Танго также называлось «танго криольо» (tango criollo), что и значило «аргентинское»[2][3].

Са́мба (порт. samba) — бразильский танец, символ национальной идентичности бразильцев.

Танец обрёл мировую известность благодаря бразильским карнавалам. Одна из разновидностей самбы вошла в обязательную пятёрку латиноамериканской программы бальных танцев. Исполняется в темпе 50-52 удара в минуту, в размере 2/4 или 4/4.

В русском языке слово самба имеет женский род, а в португальском — мужской[1].

4,4(37 оценок)
Новые ответы от MOGZ: Математика
logo
Вход Регистрация
Что ты хочешь узнать?
Спроси Mozg
Открыть лучший ответ