М
Молодежь
К
Компьютеры-и-электроника
Д
Дом-и-сад
С
Стиль-и-уход-за-собой
П
Праздники-и-традиции
Т
Транспорт
П
Путешествия
С
Семейная-жизнь
Ф
Философия-и-религия
Б
Без категории
М
Мир-работы
Х
Хобби-и-рукоделие
И
Искусство-и-развлечения
В
Взаимоотношения
З
Здоровье
К
Кулинария-и-гостеприимство
Ф
Финансы-и-бизнес
П
Питомцы-и-животные
О
Образование
О
Образование-и-коммуникации
liona676
liona676
26.10.2020 18:15 •  Математика

Рещите систему: 9x^2-y^2-3x+y=0 x^2+y=xy

👇
Ответ:
папа298
папа298
26.10.2020
Разложим 1 уравнение системы на множители:
9x^2-y^2-3x+y=(3x-y)(3x+y)-(3x-y)=(3x-y)(3x+y-1)
значит данная система равносильна двум системам:
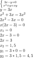
1) 
\left \{ {{3x-y=0} \atop {x^2+y=xy}} \right. 
\\y=3x
\\x^2+3x=3x^2
\\2x^2-3x=0
\\x(2x-3)=0
\\x_1=0
\\2x-3=0
\\2x=3
\\x_2=1,5
\\y_1=3*0=0
\\y_2=3*1,5=4,5
2)
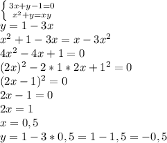
\left \{ {{3x+y-1=0} \atop {x^2+y=xy}} \right. 
\\y=1-3x
\\x^2+1-3x=x-3x^2
\\4x^2-4x+1=0
\\(2x)^2-2*1*2x+1^2=0
\\(2x-1)^2=0
\\2x-1=0
\\2x=1
\\x=0,5
\\y=1-3*0,5=1-1,5=-0,5
в итоге получим 3 решения.
ответ: (0;0); (1,5;4,5); (0,5;-0,5) 
4,7(96 оценок)
Ответ:
Sauleorazbaeva1
Sauleorazbaeva1
26.10.2020
{9x²-y²-3x+y=0⇒(3x-y)(3x+y)-(3x-y)=0⇒(3x-y)(3x+y-1)=0  (1)
{x²+y=xy⇒x²-xy+y=0  (2)
1){3x-y=0⇒y=3x
{x²-xy+y=0
x²-3x²+3x=0
-2x²+3x=0
-x(2x-3)=0
x1=0⇒y1=3*0=0
x2=3/2=1,5⇒y2=3*1,5=4,5
2){3x+y-1=0⇒y=1-3x
{x²-xy+y=0
x²-x(1-3x)+1-3x=0
x²-x+3x²+1-3x=0
4x²-4x+1=0
(2x-1)²=0
2x-1=0
2x=1
x=0,5
y=1-3*0,5
y=-0,5
ответ (0;0),(1,5;4,5),(0,5;-0,5)
4,7(67 оценок)
Открыть все ответы
Ответ:
мозг1101
мозг1101
26.10.2020

1. Объем прямоугольного параллелепипеда равен произведению его сторон V = a * b * c, если необходимо найти одну из сторон, необходимо объем разделить на произведение двух известных сторон.

c = V / (a * b) = 64 / (4 * 2) = 64 / 8 = 8 см.

2. Уменьшим длину найденной стороны на 3 см.

с = 8 - 3 = 5 см.

3. Найдем новый объем прямоугольного параллелепипеда.

V = 4 * 2 * 5 = 8 * 5 = 40 cм в кубе.

ответ: Объем параллелепипеда после уменьшения стороны на 3 см, будет равен 40 см3.

(не очень уверена)(вроде всё правильно)

4,6(78 оценок)
Ответ:
YeezyM
YeezyM
26.10.2020

60 машин было первоначально на первой стоянке

300 машин было первоначально на второй стоянке

Пошаговое объяснение:

Если на первой автостоянке было в 5 раз меньше машин, чем на второй, значит на второй было в 5 раз больше машин, чем на первой.

Пусть на первой стоянке было х машин, тогда на второй стоянке 5х машин (в 5 раз больше, чем на первой)

Когда со второй стоянки на первую перевели 120 автомобилей, машин на стоянках стало поровну.

Составим уравнение:

5х - 120 = х + 120

5х - х = 120 + 120

4х = 240

х = 240/4

х = 60 (машин) было на первой стоянке

60*5 = 300 (машин) было на второй стоянке

Проверим:

300 - 120 = 60 + 120

180 = 180

4,7(64 оценок)
Это интересно:
Новые ответы от MOGZ: Математика
Полный доступ к MOGZ
Живи умнее Безлимитный доступ к MOGZ Оформи подписку
logo
Вход Регистрация
Что ты хочешь узнать?
Спроси Mozg
Открыть лучший ответ