
Пошаговое объяснение:
Нам надо свести эти два уравнения к одинаковым, тогда записи равнозначны.
1) sin(3z) - cos(3z) = √(3/2) = √3/√2 = √6/2
В левой части умножим и разделим каждое слагаемое на √2:
√2*(1/√2)*sin(3z) - √2*(1/√2)*cos(3z) = √6/2
Выносим √2 за скобки и применяем
sin(Π/4) = cos(Π/4) = 1/√2 = √2/2:
√2*(sin(3z)*cos(Π/4) - cos(3z)*sin(Π/4) ) = √6/2
Это формула синуса разности:
√2*sin(3z - Π/4) = √6/2
sin(3z - Π/4) = √6/(2√2) = √3/2
Получили элементарное уравнение, решение которого известно.
2) sin(3z)*√2/2 - cos(3z)*√2/2 = √(3/2)
Здесь опечатка. Справа должно быть √3/2. Тогда:
sin(3z)*cos(Π/4) - cos(3z)*sin(Π/4) = √3/2
sin(3z - Π/4) = √3/2
Получили такое же элементарное уравнение.
Значит, эти уравнения равнозначны.
Можно его решить, будет два решения:
1) 3z - Π/4 = Π/3 + 2Πn, n € Z
3z = Π/3 + Π/4 + 2Πn = 7Π/12 + 2Πn, n € Z
z1 = 7Π/36 + 2Π/3*n, n € Z - ЭТО РЕШЕНИЕ
2) 3z - Π/4 = 2Π/3 + 2Πk, k € Z
3z = 2Π/3 + Π/4 + 2Πk = 11Π/12 + 2Πk, k € Z
z2 = 11Π/36 + 2Π/3*k, k € Z - ЭТО РЕШЕНИЕ
Пошаговое объяснение:
1) (x⁵-x⁴+x³-x²+x-1)(x⁵+x⁴+x³+x²+x+1)=
=(x+1)(x⁵-x⁴+x³-x²+x-1)(x-1)(x⁵+x⁴+x³+x²+x+1)/(x²-1)=
=(x⁶-1)(x⁶-1)/(x²-1)=(x⁶-1)(x⁴+x²+1)=x¹⁰+x⁸+x⁶-x⁴-x²-1
2) (x⁵-x⁴+x³-x²+x-1)(x⁵+x⁴+x³+x²+x+1)=(x⁴(x-1)+x²(x-1)+(x-1))(x⁴(x+1)+x²(x+1)+(x+1))=
=(x-1)(x⁴+x²+1)(x+1)(x⁴+x²+1)=(x²-1)(x⁴+x²+1)(x⁴+x²+1)=
=(x⁶-1)(x⁴+x²+1)=x¹⁰+x⁸+x⁶-x⁴-x²-1
3) (x⁵-x⁴+x³-x²+x-1)(x⁵+x⁴+x³+x²+x+1)=
=(x(x⁴+x²+1)-(x⁴+x²+1))(x(x⁴+x²+1)+(x⁴+x²+1))=
=(x-1)(x⁴+x²+1)(x+1)(x⁴+x²+1)=(x²-1)(x⁴+x²+1)(x⁴+x²+1)=
=(x⁶-1)(x⁴+x²+1)=x¹⁰+x⁸+x⁶-x⁴-x²-1
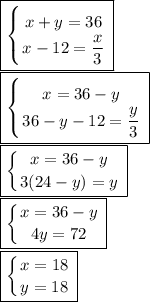
x-было в первой коробке
y-была во второй коробке
x+y=36
x-12=y/3
Решаем стандартную систему, сложим оба уравнения
4x=72
x=18
y=18