М
Молодежь
К
Компьютеры-и-электроника
Д
Дом-и-сад
С
Стиль-и-уход-за-собой
П
Праздники-и-традиции
Т
Транспорт
П
Путешествия
С
Семейная-жизнь
Ф
Философия-и-религия
Б
Без категории
М
Мир-работы
Х
Хобби-и-рукоделие
И
Искусство-и-развлечения
В
Взаимоотношения
З
Здоровье
К
Кулинария-и-гостеприимство
Ф
Финансы-и-бизнес
П
Питомцы-и-животные
О
Образование
О
Образование-и-коммуникации
FSoxGy
FSoxGy
20.09.2020 14:37 •  Математика

Решить уравнение cos(x/2)*cos(3x/2)-sinx*sin3x-sin2x*sin3x=0

👇
Ответ:
bun3
bun3
20.09.2020
Это все на одну формулу преобразования произведения в сумму

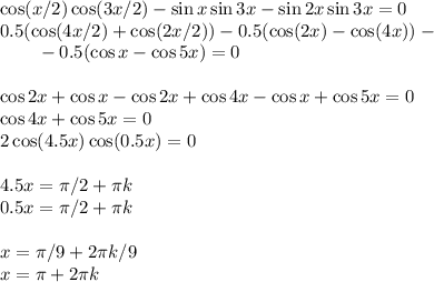
\cos(x/2)\cos(3x/2)-\sin x\sin3x-\sin2x\sin3x=0\\
0.5(\cos(4x/2)+\cos(2x/2))-0.5(\cos(2x)-\cos(4x))-\\
{}\qquad-0.5(\cos x-\cos 5x)=0\\\\
\cos 2x + \cos x - \cos 2x+\cos 4x - \cos x + \cos 5x = 0\\
\cos 4x+\cos5x=0\\
2\cos(4.5x)\cos(0.5x)=0\\\\
4.5x = \pi/2+\pi k\\
0.5x = \pi/2+\pi k\\\\
x = \pi/9+2\pi k/9\\
x = \pi+2\pi k
4,8(25 оценок)
Открыть все ответы
Ответ:
annapar2017p00w0y
annapar2017p00w0y
20.09.2020
Дано:
За три дня-140 школьников
Одна экскурсия - 15 чел.
В 1-ый день - 4 экск.
Во 2-ой день - 2 экск.
Задание: Составить разные выражения
Решение
1) 4×15=60 (школьников) - посетили музей в 1-ый день

2) 2*15=30 (школьников) - посетили музей во 2-ой день

3) 140-(60+30)=140-90=50 (школьников) - посетили музей в 3-ий день.
или
140-(4×15+2×15)=140-90=50 (школьников) - посетили музей в 3-ий день.

4) 4×15-2×15=60-30=на 30 (школьников) - больше пришли в 1-ый день, чем во 2-ой день.

5) (4×15)÷(2×15)=60:30=в 2 (раза) - школьников больше пришли в 1-ый день, чем во 2-ой день.
4,4(42 оценок)
Ответ:
ZlushiyPlayar
ZlushiyPlayar
20.09.2020
Объяснение к 1 выражению:
4 * 15 = 60 человек в первый день
2 * 15 = 30 человек во второй день
60 + 30 = 90 человек за два дня
140 - 90 = 50 человек третий день

объяснение ко 2 выражению:
4+2=6 экскурсий за два дня
6 * 15 = 90 человек за два дня
140 - 90 = 50 человек третий день

объяснение к 3 выражению:
4+2=6 экскурсий за два дня
6 * 15 = 90 человек за два дня
140 - 90 = 50 человек третий день
90 - 50 = 40 человек - на столько больше за первые два дня

выражения:
140 - 4 * 15 - 2 *15 = 140 - 60 - 30 = 50 человек в третий день
140 - (4 + 2) * 15 = 140 - 6 * 15 = 140 - 90 = 50 человек в третий день
6 * 15 - (140 - (4+2) * 15 )= 90 - (140 - 6*15) = 90 - (140-90) = 90 - 50 = 40 человек - на столько больше за первые два дня
4,6(54 оценок)
Новые ответы от MOGZ: Математика
logo
Вход Регистрация
Что ты хочешь узнать?
Спроси Mozg
Открыть лучший ответ