М
Молодежь
К
Компьютеры-и-электроника
Д
Дом-и-сад
С
Стиль-и-уход-за-собой
П
Праздники-и-традиции
Т
Транспорт
П
Путешествия
С
Семейная-жизнь
Ф
Философия-и-религия
Б
Без категории
М
Мир-работы
Х
Хобби-и-рукоделие
И
Искусство-и-развлечения
В
Взаимоотношения
З
Здоровье
К
Кулинария-и-гостеприимство
Ф
Финансы-и-бизнес
П
Питомцы-и-животные
О
Образование
О
Образование-и-коммуникации
MrReizer
MrReizer
25.08.2020 19:37 •  Математика

Решите 3 квадратных уравнения 6x^2-13x+28=0 x^2-16x+55=0 14x^2-57x+55=0

👇
Ответ:
yarikmazai
yarikmazai
25.08.2020
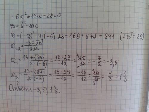
Первое уравнение имеет корни только в том случае, если 6 или 28 будут с минусом. Прорешала так. И на всякий случай (на отдельном фото) с - 6, а не с 6.
______________________________
Sunny Storm (Darknight)
Решите 3 квадратных уравнения 6x^2-13x+28=0 x^2-16x+55=0 14x^2-57x+55=0
Решите 3 квадратных уравнения 6x^2-13x+28=0 x^2-16x+55=0 14x^2-57x+55=0
4,7(75 оценок)
Открыть все ответы
Ответ:
anastasiyaroma11
anastasiyaroma11
25.08.2020
Пусть х-кол-во тысяч в исходном числе или кол-во сотен в полученном числе,
тогда у-кол-во сотен в исходном числе или кол-во десятков в полученном числе,
         z-кол-во десятков в исходном числе или кол-во единиц в полученном числе

Признак делимости на 5: на 5 делятся все натуральные числа, оканчивающиеся на 5 или 0. Т.к. число у нас нечетное, то оно будет заканчиваться на 5.
1000х+100у+10z+5-исходное число
1000*5+100х+10у+z-полученное число
Составим уравнение:
(5000+100х+10у+z)+216=2*(1000х+100у+10z+5)
5000+100х+10у+z+216=2000x+200y+20z+10
2000x-100x+200y-10y+20z-z=5000+216-10
1900x+190y+19z=5206
19*(100x+10y+z)=5206
100x+10y+z=5206^19
100x+10y+z=274
Разложим число 274 на разрядные слагаемые:
274=200+70+4
274=100*2+10*7+4, ⇒ х=2, у=7, z=4

Исходное число будет:
1000*2+100*7+10*4+5=2000+700+40+5=2745
Полученное число будет:
1000*5+100*2+10*7+4=5000+200+70+4=5274
Проверяем:
5274+216=2*2745
       5490=5490
4,6(40 оценок)
Ответ:
Ivanka23
Ivanka23
25.08.2020

Пошаговое объяснение:

Если, что будешь за мной пересчитывать, чтобы не ошибиться.

Решать будем по формуле Гюйгенса.

L=2m+(2m-M)/3

M=64 смотрим на рисунок

Высота нашего треугольника будет

76-69=16

Треугольники прямые находим по теореме Пифагора m.

64/2=32 (1 катет)

76-69=16 (второй катет)

Находим гипотенузу m

m²=32²+16²=1024+256=1280

m=√1280

m=35,777

Находим L=2*35,777+(2*35,777-64)/3

L=71,554+(71,554-64)/3

L=71,554+(7,554)/3

L=71,554+2,518=74,072

ответ округляем до десятых

74,072≈74,1 см

ответ длина нашей дуги ≈74,1 см


за правильное объяснение и ответ ,делаю лучшим ответом а то математичка съест
4,4(15 оценок)
Это интересно:
Новые ответы от MOGZ: Математика
logo
Вход Регистрация
Что ты хочешь узнать?
Спроси Mozg
Открыть лучший ответ