3
Пошаговое объяснение:
Заметим, что данные прямые параллельны.
Запишем уравнение прямой, перпендикулярной исходным.
Поскольку k у данных прямых
, то k перпендикулярной прямой будет
, потому что в результате произведения мы должны получить -1.
Получим:

Здесь коэффициент b - любое число. Я возьму 0.

Продолжим решение.
Найдем пересечение перпендикулярной прямой с данными прямыми.
Для этого будем поочередно приравнивать уравнение перпендикулярной прямой с данными и решать систему.

Теперь без труда можно найти искомое расстояние:

Задача решена!
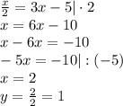
Точка пересечения графиков (2;1)