М
Молодежь
К
Компьютеры-и-электроника
Д
Дом-и-сад
С
Стиль-и-уход-за-собой
П
Праздники-и-традиции
Т
Транспорт
П
Путешествия
С
Семейная-жизнь
Ф
Философия-и-религия
Б
Без категории
М
Мир-работы
Х
Хобби-и-рукоделие
И
Искусство-и-развлечения
В
Взаимоотношения
З
Здоровье
К
Кулинария-и-гостеприимство
Ф
Финансы-и-бизнес
П
Питомцы-и-животные
О
Образование
О
Образование-и-коммуникации
Plushkina69
Plushkina69
28.10.2022 23:47 •  Математика

Знаю что качество плохое, но только так. там где не видно ничего нет, просто скобка. кто первый решит получит 55 ​

👇
Ответ:
Тирия
Тирия
28.10.2022

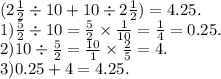
(2\frac{1}{2} : 10 + 10 : 2\frac{1}{2}) = \frac{5}{2}:10 + 10: \frac{5}{2} = \frac{5}{2*10} + \frac{10*2}{5} = \frac{1}{4} + 4 = 4\frac{1}{4} = 4,25

4,5(63 оценок)
Ответ:
lagapep
lagapep
28.10.2022

(2 \frac{1}{2} \div 10 + 10 \div 2 \frac{1}{2} ) =4.25. \\ 1) \frac{5}{2} \div 10 = \frac{5}{2} \times \frac{1}{10} = \frac{1}{4} = 0.25. \\ 2)10 \div \frac{5}{2} = \frac{10}{1} \times \frac{2}{5} = 4. \\ 3)0.25 + 4 = 4.25.

__________________________

Удачи✨)))))

4,7(43 оценок)
Открыть все ответы
Ответ:
German22848
German22848
28.10.2022
Жил был бандит.
Надоело как-то раз бандиту сидеть на печи и решил он сбежать от своей банды и заняться честным бизнесом.
Идет-идет он по дороге, по большим Московским проспектам, рассматривает витрины. 
Вдруг ему навстречу банкир.
- Бизнесмен-бизнесмен, я тебя съем! - говорит банкир.
- Не ешь меня, друг-банкир, я тебе песенку спою, - ответил Бизнесмен, и запел, - Я Бизнесмен-бизнесмен, я от банды ушел, а от тебя банкир подавно сбегу!
Сказал и убежал прочь. 
Идет Бизнесмен по Новому Арбату, глаз радуется от ярких огней. Вдруг ему на встречу Страховой Агент.
- Бизнесмен-бизнесмен, я тебя съем! - говорит Страховой Агент.
- Не ешь меня, друг-Страховой Агент, я тебе песенку спою, - ответил Бизнесмен, и запел, - Я Бизнесмен-бизнесмен, я от банды ушел, а от банкира ушел, а от тебя, Страховой Агент и подавно сбегу!
Сказал - и побежал прочь. Свернул на тверской бульвар, бежит и смеется.
Тут ему навстречу Налоговая Полиция.

Бизнесмен постоял, подумал.
И решил ничего им не петь и просто побежал в темный лес, обратно к своей шайке бандитов.
Вот и вся сказка. 
4,6(75 оценок)
Ответ:
мурgsng
мурgsng
28.10.2022
78,5 - 42,4 = 36,1 - разница скоростей грузовика и мотоциклиста
13 ч 30 мин - 10 = 2ч 30 мин = 2,5 час - мотоциклист выехал позже грузовика
Грузовик за  это время проехал 42,4 * 2,5 = 106 км . В 15 ч 30 мин  , то есть 15 ч 30мин - 13 ч 30 мин  = 2 часа расстояние между ними будет  равно = 106 - 36,1 * 2 = 106 - 72,2 = 33,8 км. В 18 час , то есть через 18 - 13 ч 30 мин = 4 ч 30 мин = 4,5 час расстояние между ними будет равно = 106 - 36,1 * 4,5 = 106 - 162,45 = - 56,45 км , то есть мотоциклист обгонит грузовик на 56,45 км
4,8(63 оценок)
Это интересно:
Новые ответы от MOGZ: Математика
logo
Вход Регистрация
Что ты хочешь узнать?
Спроси Mozg
Открыть лучший ответ