М
Молодежь
К
Компьютеры-и-электроника
Д
Дом-и-сад
С
Стиль-и-уход-за-собой
П
Праздники-и-традиции
Т
Транспорт
П
Путешествия
С
Семейная-жизнь
Ф
Философия-и-религия
Б
Без категории
М
Мир-работы
Х
Хобби-и-рукоделие
И
Искусство-и-развлечения
В
Взаимоотношения
З
Здоровье
К
Кулинария-и-гостеприимство
Ф
Финансы-и-бизнес
П
Питомцы-и-животные
О
Образование
О
Образование-и-коммуникации
Nataliya24111969
Nataliya24111969
16.03.2021 13:25 •  Математика

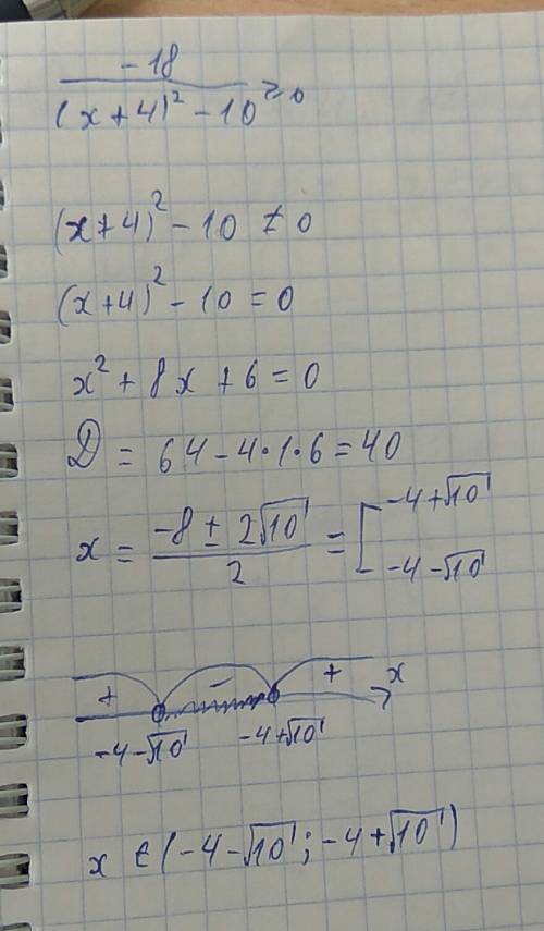
Решите неравенство -18/(х+4)^2-10> =0

👇
Ответ:
daniexalmera
daniexalmera
16.03.2021
Если я правильно понял запись, то решение такое. Отрицательные иксы нужны потому, что сверху отрицательное число, а по условию выражение должно быть больше нуля
Решите неравенство -18/(х+4)^2-10> =0
4,8(67 оценок)
Открыть все ответы
Ответ:
endermeska
endermeska
16.03.2021

Пошаговое объяснение:

1. Выразим b через x:

{2x^2 + (3b - 1)x - 3 = 0;

{6x^2 - (2b - 3)x - 1 = 0;

{(3b - 1)x = 3 - 2x^2;

{(2b - 3)x = 6x^2 - 1;

{3b - 1 = (3 - 2x^2)/x;

{2b - 3 = (6x^2 - 1)/x;

{3b = (3 - 2x^2)/x + 1;

{2b = (6x^2 - 1)/x + 3;

{6b = 2(3 - 2x^2)/x + 2;

{6b = 3(6x^2 - 1)/x + 9.

  2. Приравняем правые части уравнений:

2(3 - 2x^2)/x + 2 = 3(6x^2 - 1)/x + 9;

2(3 - 2x^2) + 2x = 3(6x^2 - 1) + 9x;

6 - 4x^2 = 18x^2 - 3 + 7x;

22x^2 + 7x - 9 = 0;

D = 7^2 + 4 * 22 * 9 = 49 + 792 = 841 = 29^2;

x = (-7 ± 29)/44;

  1) x1 = (-7 - 29)/44 = -36/44 = -9/11;

b = ((6x^2 - 1)/x + 3)/2;

b = 3x - 1/2x + 3/2 = -27/11 + 11/18 + 3/2 = (-486 + 121 + 297)/198 = -68/198 = -34/99 (не целое число);

  2) x2 = (-7 + 29)/44 = 22/44 = 1/2;

b = 3x - 1/2x + 3/2 = 3/2 - 1 + 3/2 = 2 (целое число).

  ответ: 2.

4,4(81 оценок)
Ответ:
VarvaraErrorFell
VarvaraErrorFell
16.03.2021

Пошаговое объяснение:

Пусть неизвестный катет равен x см. По теореме Пифагора или из соотношений сторон в прямоугольном треугольнике находим, что гипотенуза отрезанного треугольника равна x корень из 2 . Поскольку все стороны восьмиугольника должны быть равны, получаем уравнение 40 минус 2x=x корень из 2 , откуда x умножить на (2 плюс корень из 2 )=40, откуда

x= дробь: числитель: 40, знаменатель: 2 плюс корень из 2 конец дроби =20(2 минус корень из 2 ).

Подставляя значение 1,41 вместо корень из 2 , получаем:

x\approx20 умножить на 0,59=11,8.

Итак, длина катета равна приблизительно 11,8 см, то есть 118 мм.

ответ: 118.

4,5(4 оценок)
Это интересно:
Новые ответы от MOGZ: Математика
logo
Вход Регистрация
Что ты хочешь узнать?
Спроси Mozg
Открыть лучший ответ