М
Молодежь
К
Компьютеры-и-электроника
Д
Дом-и-сад
С
Стиль-и-уход-за-собой
П
Праздники-и-традиции
Т
Транспорт
П
Путешествия
С
Семейная-жизнь
Ф
Философия-и-религия
Б
Без категории
М
Мир-работы
Х
Хобби-и-рукоделие
И
Искусство-и-развлечения
В
Взаимоотношения
З
Здоровье
К
Кулинария-и-гостеприимство
Ф
Финансы-и-бизнес
П
Питомцы-и-животные
О
Образование
О
Образование-и-коммуникации
karolinaskinger
karolinaskinger
19.08.2020 19:00 •  Математика

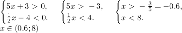
Решите систему неравенств 5х+3> 0 1/2х-4< 0

👇
Ответ:
wonderr
wonderr
19.08.2020
\begin{cases}5x+3\ \textgreater \ 0,\\&#10;\frac{1}{2}x-4\ \textless \ 0.\end{cases}\,\begin{cases}5x\ \textgreater \ -3,\\&#10;\frac{1}{2}x\ \textless \ 4.\end{cases}\,\begin{cases}x\ \textgreater \ -\frac{3}{5}=-0.6,\\&#10;x\ \textless \ 8.\end{cases}\\&#10;x\in(0.6;8)
4,8(76 оценок)
Открыть все ответы
Ответ:
1234567890821
1234567890821
19.08.2020
Для того щоб зрозуміти, чому людина – біосоціальна істота, слід розібратися в значенні терміна «біосоціальний». Поняття має на увазі систему поведінки, яка є симбіозом біологічних і соціальних факторів. Говорячи по-іншому, поведінка біосоціальних істот (людей) одночасно визначається природними інстинктами, психологічними характеристиками і соціальними навичками.Людина як біосоціальна істота – зовсім особлива форма буття. Ми є його невіддільною частиною, але одночасно впливаємо на буття, змінюючи його. Ми одноразово об’єкт і суб’єкт пізнання.Жодна відособлена наука, будь то біологія, психологія, анатомія або т.п. не може створити цілісний образ людини. Це намагається зробити тільки філософія, але її пізнання зводиться до вивчення загальнолюдської природи.Чому так відбувається?Саме тому, що людина, як біосоціальна істота, містить в собі занадто багато аспектів. Він володіє наступними характеристиками:загальнолюдськими ознаками, тобто є представником конкретного виду.Спеціальними, що означає, що кожна особина є представником конкретної раси, народності, етносу.Конкретними: особистістю, психікою, талантами, нахилами, потребами.Людина як біосоціальна істота розглядається й тому, що за своїм походженням і натурою він двоєдиний. З одного боку – це хоч і високоорганізоване, але тварина, тобто біологічний організм. З іншого – це істота, що володіє соціальними, політичними, культурними, іншими унікальними навичками. Саме ця особливість дозволяє вважати, що людина – біосоціальна істота, або, висловлюючись словами Аристотеля, «політична тварина».З одного боку, життєдіяльність представників нашого виду визначається біологічним походженням. Індивідуум здатний передавати у спадок біологічні ознаки свого виду, має схильність до певної тривалості життя, хвороб, типу поведінки, темпераменту.З іншого боку, людина не має чіткої схильності до денного або нічного життя, типу харчування, поводженню (стадному, наприклад). Тому розвиватися, на відміну від тварин, він здатний у будь-якому напрямку.Потреби людини нерозривно пов’язані з його природою. Тільки природа проявляється в тілі, фізіологічних потребах, інстинктах (наприклад, необхідність харчуватися, розмножуватися і т.п.), а соціальне – у свідомості. Однак і природний початок, і соціальне складає єдиний конгломерат, який, за своєю суттю, є буттям.До слова, про природу людини в науці точаться суперечки. Одні вчені вважають, що природа обумовлена виключно генетикою виду: прямоходінням, диханням за до легких і т.
п.. інші ж включають у поняття і психіку індивіда, його інтелект, емоційний розвиток. Це теж підтверджує складність людської натури.Крім того, свідомість – це психологічне прояв, яке є породженням мозку, а мозок має біологічне походження. Це ще один доказ тієї істини, що людина як біосоціальна істота може розглядатися тільки одночасно з декількох точок зору.
4,5(100 оценок)
Ответ:
Ckyka
Ckyka
19.08.2020
1)
-0,25 - (7b/12 - 1/4 )= - (b/6 + 5/12) + b 
-0.25  - 7b/12 + 1/4  = - b/6  - 5/12 + b
-0.25- 7b/12 + 0.25 = -  b/6 + 6b/6 - 5/12
-7b/12 - 5b/6 = - 5/12
-7b/12 - 10b/12 =- 5/12  
- 17b/12 =  - 5/12         (*- 12)
17b=5
b= 5/17

Проверим:
-0,25  - ( (7* 5/17 ) /12 - 1/4 ) = - ( 5/17 :6 + 5/12 ) + 5/17
-0,25 -   (( 35/17 * 1/12  ) - 1/4) = -  ( 5/102   + 5/12) + 5/17
-1/4 -   ( 35/204 -  51/204) = - (10/204 +  85/204) +  60/204
-51/204 - ( - 16/204) = -95/204 + 60/204
-35/204 = -35/204
2)
(8-к)/4= (8к-1)/5
4*(8к-1) = 5 (8-к)
32к-4= 40-5к
32к+5к= 40+4
37к= 44
к= 44/37 = 1  7/37

Проверим: 
( 8- 1  7/37 ) /4  =  (8* 44/37  - 1 ) /5
6  30/37   : 4 =  (352/37  -  37/37)  :5
252/37  *  1/4  =  315/37   *  1/5
(252*1) / (37*4) = (315*1) / (37*5) 
63/ 37 = 63/37
1  26/37  =  1   26/37

3) 
(-11+2d) /(3-d) = - 0.19 / 0.07
-0.19*(3-d) = 0.07 (-11+2d)
-0.57 + 0.19d = -0.77 + 0.14d
0.19d-0.14d= -0.77+ 0.57
0.05d =- 0.2
d=-0.2 : 0.05
d=-4

Проверим:
(-11+2*(-4) )/ (3-(-4) ) = -0,19 / 0,07
-19/ 7= - 19/100   *  100/7 
-  2  5/7  =  -19/7
- 2  5/7 = -  2  5/7 
4,4(94 оценок)
Это интересно:
Новые ответы от MOGZ: Математика
logo
Вход Регистрация
Что ты хочешь узнать?
Спроси Mozg
Открыть лучший ответ