М
Молодежь
К
Компьютеры-и-электроника
Д
Дом-и-сад
С
Стиль-и-уход-за-собой
П
Праздники-и-традиции
Т
Транспорт
П
Путешествия
С
Семейная-жизнь
Ф
Философия-и-религия
Б
Без категории
М
Мир-работы
Х
Хобби-и-рукоделие
И
Искусство-и-развлечения
В
Взаимоотношения
З
Здоровье
К
Кулинария-и-гостеприимство
Ф
Финансы-и-бизнес
П
Питомцы-и-животные
О
Образование
О
Образование-и-коммуникации
ALINASVETLYRULIT
ALINASVETLYRULIT
24.05.2021 00:09 •  Математика

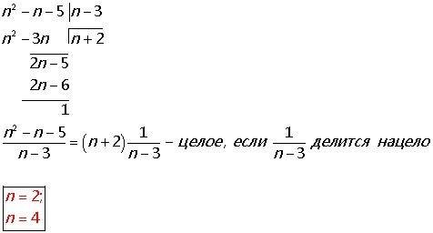
При каких целых n значение выражения n²-n-5/n-3 является целым числом?

👇
Ответ:
dashayudina04
dashayudina04
24.05.2021
********************************
При каких целых n значение выражения n²-n-5/n-3 является целым числом?
4,6(1 оценок)
Ответ:
айлан8
айлан8
24.05.2021
(n^2-n-5)/(n-3)=((n-3)^2+5(n-3)+1)/(n-3) = n+2+(1/(n-3)) , откуда n=4 или n=2
4,5(63 оценок)
Открыть все ответы
Ответ:
dashabalybina11
dashabalybina11
24.05.2021

100 000/(1 + N/100)⁵⁰

Пошаговое объяснение:

Задача:

Сколько денег нужно положить сейчас чтобы через 50 лет на сберкнижке было 100 тысяч под N процентов годовых ​

Решение

Согласно формуле сложных процентов, будущая стоимость (FV) равна произведению текущей стоимости (PV), умноженной на множитель наращения k в степени n, где n - количество периодов начисления процентов.

В свою очередь, множитель наращения равен:

k = 1 + N/100, где N - процент годовых.

FV = PV · (1 + N/100)ⁿ,

откуда

РV = FV / (1 + N/100)ⁿ.

Таким образом, при FV = 100 000, n = 50 лет и ставке процента N % годовых первоначальные вложения должны составить:

РV = 100 000/(1 + N/100)⁵⁰ .

ответ: 100 000/(1 + N/100)⁵⁰

4,5(50 оценок)
Ответ:
КУМИР566
КУМИР566
24.05.2021

На представленных графиках видно результаты работы агентства «Корона» по трём новым товарам для интернет-магазина в 2019 году — «фитнес-программа», «тренажёр», «витамины». На вертикальной оси — количество клиентов, сделавших повторный заказ этого товара, на горизонтальной — месяцы в году. 0

Товар «витамины» до середины лета показывал рост, а к концу периода работы с ним после падения показывал те же результаты, с которых началась работа с ним, поэтому понятно, что сотрудничество с агентством по этому товару было прервано до окончания 2019 года.

Товар «тренажёр» начал своё продвижение только с конца февраля, к марту выровнял показатели с товаром «витамины», а затем стабильно падал, к концу работы над его продвижением пришли к тому же, с чего начали.

Товары «фитнес-программа» и «витамины» в начале года одинаково хорошо росли, хотя изначально показатели у «витамины» были существенно выше, чем у товара «фитнес-программа».

Сопоставь номера графиков с названиями товаров:

1 график - Фитнес программа, тренажёр, витамины

;

2 график - Фитнес программа, тренажёр, витамины

;

3 график - Фитнес программа, тренажёр, витамины

.

На представленных графиках видно результаты работы агентства «Корона» по трём новым товарам для инте

4,7(100 оценок)
Это интересно:
Новые ответы от MOGZ: Математика
logo
Вход Регистрация
Что ты хочешь узнать?
Спроси Mozg
Открыть лучший ответ