М
Молодежь
К
Компьютеры-и-электроника
Д
Дом-и-сад
С
Стиль-и-уход-за-собой
П
Праздники-и-традиции
Т
Транспорт
П
Путешествия
С
Семейная-жизнь
Ф
Философия-и-религия
Б
Без категории
М
Мир-работы
Х
Хобби-и-рукоделие
И
Искусство-и-развлечения
В
Взаимоотношения
З
Здоровье
К
Кулинария-и-гостеприимство
Ф
Финансы-и-бизнес
П
Питомцы-и-животные
О
Образование
О
Образование-и-коммуникации
anastasiataraso
anastasiataraso
21.03.2021 17:41 •  Математика

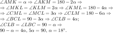
На гипотенузе ab прямоугольного треугольника abc отметили точки k и l, а на катете ac – точку m. оказалось, что ak = km = ml = lc = cb. найдите наименьший угол треугольника abc

👇
Ответ:
XOBasya
XOBasya
21.03.2021
Предположим что
\angle A=\alpha
тогда по свойствам равнобедренных треугольников получим:
\angle AMK=\alpha\Rightarrow \angle AKM=180-2\alpha\Rightarrow \\
\Rightarrow \angle MKL=\angle KLM=2\alpha\Rightarrow \angle KML=180-4\alpha\Rightarrow\\
\Rightarrow \angle CML=\angle MCL=3\alpha \Rightarrow \angle CLM=180-6\alpha\Rightarrow\\
\Rightarrow \angle BCL=90-3\alpha\Rightarrow \angle CLB=4\alpha;\\
\angle CLB=\angle LBC=90-\alpha\Rightarrow\\
90-\alpha=4\alpha,\,5\alpha=90,\,\alpha=18^{\circ}.
4,5(79 оценок)
Открыть все ответы
Ответ:
настена26258
настена26258
21.03.2021
1 Естественно можно изобразить работу в поле(солнечно,большие стога сена,молодые крестьянки собирать сено и что-то вместе весело обсуждают,мужчины мощно взмахивают косами,все находятся в дружной работе)вот такой пейзаж)))
2 Домашний быт,дома ведь так же не мало было забот(допустим уборка,как младшие родителям навести порядок перед особым церковным праздником,так же хлопоты на кухне)
3 Охота:показать мастеров-крестьян,охотящихся на куропаток допустим или же показать их привал
4 Как мастерицы-крестьянки занимаются рукоделием,вышивают замечательной красоты рубахи,платья и сарафаны
5 Так же можно показать ярмарку,ведь многие крестьяне ездили на ежегодные(новгородские,ярославские ярмарки) и представляли плоды своего труда.
4,8(80 оценок)
Ответ:
llRosell
llRosell
21.03.2021
1. Пахота.
    Большое поле, черная земля, вдали виднеется полоска леса. По полю идут две лошади, запряженные в плуг. На одной из лошадей сидит верхом босой мальчик лет семи и оглядывается на отца, который тяжело идет за плугом.
2.Пастух.
     На опущке леса пасется стадо коров. Светит солнце. Трава зеленая и густая. Старик-пастух сидит в тени под деревом, а маленькая девочка подает ему кувшин с молоком.
3. Домашняя работа.
     Зимняя ночь. Окна покрылись инеем и через стекло ничего не видно. На столе горит свеча. Девочка, лет десяти, сидит возле свечи и вяжет носок. Возле девочки стоит люлька с младенцем, и девочка покачивает люльку ногой и поет. А рядом стоит мать, перед ней корыто, полное белья, и она стирает, опустив голову и погрузив руки в воду по локоть.
4. Сбор урожая.
     Яблоневый сад. Ветви яблонь гнутся под тяжестью яблок, желтых ,красных и зеленых. В саду много людей.Мальчик сидит на толстой ветви и собирает в подол рубахи красные яблоки. Женщины несут корзины, полные яблок к телеге, в которую запряжена серая в яблоках лошадь. Маленькая девочка протягивает лощади яблоко на ладони.
5. Заготовка дров.
Зимний лес, пасмурно и дует ветер. На дороге стоит лошадь, перед ней брошено сено, и она тянется к нему. Лошадь запряжена в телегу, до половины заполненную дровами. Недалеко от дороги высокий, сильный крестьянин с черной бородой широко размахнулся топором, чтобы срубить, стоящее перед ним, дерево. От него, в сторону телеги, идет женщина, сгибаясь под тяжестью дров, а от телеги к матери бежит мальчик, чтобы ей
4,8(47 оценок)
Это интересно:
Новые ответы от MOGZ: Математика
logo
Вход Регистрация
Что ты хочешь узнать?
Спроси Mozg
Открыть лучший ответ