М
Молодежь
К
Компьютеры-и-электроника
Д
Дом-и-сад
С
Стиль-и-уход-за-собой
П
Праздники-и-традиции
Т
Транспорт
П
Путешествия
С
Семейная-жизнь
Ф
Философия-и-религия
Б
Без категории
М
Мир-работы
Х
Хобби-и-рукоделие
И
Искусство-и-развлечения
В
Взаимоотношения
З
Здоровье
К
Кулинария-и-гостеприимство
Ф
Финансы-и-бизнес
П
Питомцы-и-животные
О
Образование
О
Образование-и-коммуникации
kaliyeva2006amina
kaliyeva2006amina
12.01.2022 23:12 •  Математика

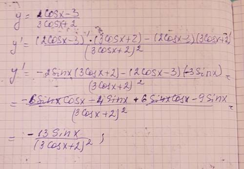
Найти производную функции y=2cosx-3/3cosx+2

👇
Ответ:
Karinaa11111
Karinaa11111
12.01.2022
Решение задания смотри на фотографии
Найти производную функции y=2cosx-3/3cosx+2
4,8(22 оценок)
Открыть все ответы
Ответ:
catpolina21
catpolina21
12.01.2022

Вариант 1:

основное свойство пропорции (6 класс математика)

если a : b = c : d, то a x d = c x b

для нашего случая получим:

5,6 х 3 = 0,4 х (3х + 12)

16,8 = 1,2х + 4,8

1,2х = 16,8 - 4,8

1,2х = 12

х = 12 : 1,2

х = 10

Вариант 2:

5,6 = 0,4 х 14

3х + 12 = 3 х (х + 4)

< var > \frac{0,4}{3} = \frac{0,4 \cdot 14}{3 \cdot (x+4)} < /var ><var>

3

0,4

=

3⋅(x+4)

0,4⋅14

</var>

это возможно только тогда, когда

< var > \frac{14}{(x+4)} = 1 < /var ><var>

(x+4)

14

=1</var>

получается, что числитель и знаменатель равны

14 = х + 4

х = 14 - 4

х = 10

4,5(61 оценок)
Ответ:
Ulia209
Ulia209
12.01.2022

Теорема Фалеса: «Если параллельные прямые, пересекающие стороны угла, отсекают на одной его стороне равные отрезки, то они отсекают равные отрезки и на другой его стороне.»

· Сторона АВ оказалась поделена парал-ми прямыми на три равных отрезка (АК, КМ, МВ), => сторона АС тоже поделена ими на три равных между собой отрезка (АР, РN, NC);

· Наименьший отрезок, содержащийся между сторонами треугольника, - отрезок КР (=3);

· Рассмотрим ∆АМN: KP - средняя линия данного треугольника.

Средняя линия треугольника - отрезок, концами которого являются середины двух сторон треугольника. При этом данный отрезок параллелен третьей стороне треугольника и равен её половине.

Из определения следует, что КР=1/2МN или MN=2KP; => MN=2*3=6;

· Рассмотрим трапецию РКВС: МN - средняя линия трапеции.

Средняя линия трапеции - отрезок, концами которого являются середины боковых! сторон трапеции. При этом данный отрезок параллелен основаниям трапеции и равен их полусумме.

Из определения следует, что МN=(KP+BC)/2; 2MN-BC=KP; BC=12-3=9.

ответ: 9.


Сторону АВ треугольника ABC разделили на три равные части. Через точки деления провели прямые, парал
4,4(68 оценок)
Новые ответы от MOGZ: Математика
logo
Вход Регистрация
Что ты хочешь узнать?
Спроси Mozg
Открыть лучший ответ