М
Молодежь
К
Компьютеры-и-электроника
Д
Дом-и-сад
С
Стиль-и-уход-за-собой
П
Праздники-и-традиции
Т
Транспорт
П
Путешествия
С
Семейная-жизнь
Ф
Философия-и-религия
Б
Без категории
М
Мир-работы
Х
Хобби-и-рукоделие
И
Искусство-и-развлечения
В
Взаимоотношения
З
Здоровье
К
Кулинария-и-гостеприимство
Ф
Финансы-и-бизнес
П
Питомцы-и-животные
О
Образование
О
Образование-и-коммуникации
gamerallgames3457643
gamerallgames3457643
12.12.2020 03:14 •  Математика

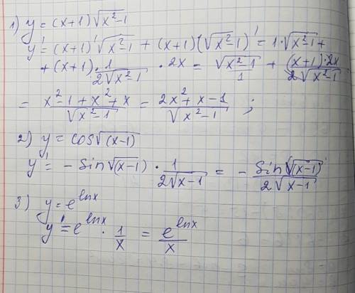
Найти производную функции y=(x+1)(sqrt(x^2-1)); y=cos sqrt(x-1); y=e^lnx

👇
Ответ:
suxowaalisa
suxowaalisa
12.12.2020
Решение задания смотри на фотографии
Найти производную функции y=(x+1)(sqrt(x^2-1)); y=cos sqrt(x-1); y=e^lnx
4,6(28 оценок)
Открыть все ответы
Ответ:
mariyakohtuk
mariyakohtuk
12.12.2020

Пусть мальчик прожил x лет и еще y месяцев. Тогда он прожил всего 12x+y месяцев и поэтому 

12x+y-x=111,
то есть 
11x+y=11*10+1.
Поскольку y<12, то y=1 и x=10.

Поскольку С>Р, С>1. Так как мы ищем наименьшее число, попробуем взять Р=1, С=2 и Е=0. Тогда М>3. Случай СЕЕМ=2003 возможен: 35+1968=2003 или 38+1965=2003. 
Кроме указанных решений, ребус, как легко проверить при компьютерной программы, имеет еще 38 решений:

31+4972=5003, 32+4971=5003, 31+5972=6003, 32+5971=6003, 81+3927=4008, 87+3921=4008, 61+2945=3006, 65+2941=3006, 81+4927=5008, 14+2987=3001, 17+2984=3001, 87+4921=5008, 15+2986=3001, 16+2985=3001, 81+5927=6008, 87+5921=6008, 41+7963=8004, 71+4936=5007, 43+7961=8004, 76+4931=5007, 15+3986=4001, 16+3985=4001, 61+7945=8006, 65+7941=8006, 46+1958=2004, 48+1956=2004, 14+5987=6001, 17+5984=6001, 57+1948=2005, 58+1947=2005, 83+6925=7008, 85+6923=7008, 46+2958=3004, 48+2956=3004, 24+5978=6002, 57+2948=3005, 28+5974=6002, 58+2947=3005.

Если первый — рыцарь, то в силу его слов второй и третий — лжецы, что невозможно из-за высказывания второго островитянина. Значит, первый — лжец. Если второй — лжец, то в силу его слов третий тоже лжец, но тогда первый сказал правду, а он должен был соврать. Значит, второй — рыцарь. В силу его слов третий тоже рыцарь. Третий честно ответит: "Один".
4,5(64 оценок)
Ответ:
dolgunovadaniela
dolgunovadaniela
12.12.2020
378 * 305 - 8208 : (44 * 506 - 22188)) : (8 - 29/9 + 76/18) + ((3249 * 627 - 627 * 3049) - (17^2 - 6^3) * 109)) = 130241

1) 44 * 506 = 22 264
2) 22 264 - 22 188 = 76
3) 378 * 305 = 115 290
4) 8 208 : 76 = 108
5) 115 290 - 108 = 115 182
6) 8 - 29/9 = 8 - 3 2/9 = 7 9/9 - 3 2/9 = 4 7/9
7) 4 7/9 + 76/18 = 4 7/9 + 4 4/18 = 4 7/9 + 4 2/9 = 8 9/9 = 9
8) 115 182 : 9 = 12 798
9) 3 249 * 627 - 627 * 3 049 = 627 * (3 249 - 3 049) = 627 * 200 = 125 400
10) 17^2 = 17 * 17 = 289
11) 6^3 = 6 * 6 * 6 = 216
12) 289 - 216 = 73
13) 73 * 109 = 7 957
14) 125 400 - 7 957 = 117 443
15) 12 798 + 117 443 = 130 241
4,6(72 оценок)
Новые ответы от MOGZ: Математика
logo
Вход Регистрация
Что ты хочешь узнать?
Спроси Mozg
Открыть лучший ответ