М
Молодежь
К
Компьютеры-и-электроника
Д
Дом-и-сад
С
Стиль-и-уход-за-собой
П
Праздники-и-традиции
Т
Транспорт
П
Путешествия
С
Семейная-жизнь
Ф
Философия-и-религия
Б
Без категории
М
Мир-работы
Х
Хобби-и-рукоделие
И
Искусство-и-развлечения
В
Взаимоотношения
З
Здоровье
К
Кулинария-и-гостеприимство
Ф
Финансы-и-бизнес
П
Питомцы-и-животные
О
Образование
О
Образование-и-коммуникации
dreakalex
dreakalex
16.04.2021 11:54 •  Математика

Вычислите площадь фигуры, ограниченной линиями у=1-х^2, у=0

👇
Ответ:
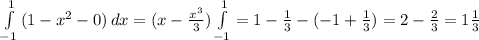
Ищем точки пересечения:
1-x^2=0
\\(1-x)(1+x)=0
\\x_1=1
\\x_2=-1
Теперь находим площадь с определенного интеграла:
\int\limits^1_{-1} {(1-x^2-0)} \, dx =(x- \frac{x^3}{3} )\int\limits^1_{-1}=1- \frac{1}{3}-(-1+ \frac{1}{3} )=2- \frac{2}{3}=1 \frac{1}{3}
ответ: 1 \frac{1}{3} ед²
Вычислите площадь фигуры, ограниченной линиями у=1-х^2, у=0
4,4(88 оценок)
Открыть все ответы
Ответ:
Sofwork
Sofwork
16.04.2021

1-ші қабырғасы 4,5см                                                                                                                                       2-ші қабырғасы 4,5см                                                                                                                                       3-ші қабырғасы 4,5см                                                                                                                                       4 -ші қабырғасы 4,5см     р=4,5+4,5+4,5+4,5=18см                                                             

4,4(53 оценок)
Ответ:
Sashunai
Sashunai
16.04.2021
1) Из второго уравнения выделим переменную у. Перенесем ее в правую часть.6(2х+3)=у+41Перенесем 41 в левую часть6(2х+3)-41=у12х+18-41=у12х-23=уу=12х-23 (1)Подставляем в первое уравнение5х-2*(12х-23+4)=05х-2*(12х-19)=05х-24х+38=038-19х=0Делим обе части на 192-х=0х=2.Подставляем х в (1).у=12*2-23у=24-23у=1ответ: х=2, у=1. Или (2;1). 2) Если Вы правильно все переписали, то первое уравнение вообще не содержит у.Выражаем из первого уравнения х2х+3(х+4)=112х+3х+12=115х=11-125х=-1х=-0,2Подставим это значение х во второе уравнение7*(-0,2+3у)-6*(-0,2)=59-1,4+21у+1,2=5921у-0,2=5921у=59,2у=2.8(190476)ответ: х=-0,2, у=2.8(190476)Наверное, записано было неверно второе задание
4,8(19 оценок)
Новые ответы от MOGZ: Математика
logo
Вход Регистрация
Что ты хочешь узнать?
Спроси Mozg
Открыть лучший ответ