М
Молодежь
К
Компьютеры-и-электроника
Д
Дом-и-сад
С
Стиль-и-уход-за-собой
П
Праздники-и-традиции
Т
Транспорт
П
Путешествия
С
Семейная-жизнь
Ф
Философия-и-религия
Б
Без категории
М
Мир-работы
Х
Хобби-и-рукоделие
И
Искусство-и-развлечения
В
Взаимоотношения
З
Здоровье
К
Кулинария-и-гостеприимство
Ф
Финансы-и-бизнес
П
Питомцы-и-животные
О
Образование
О
Образование-и-коммуникации
Бетти2004
Бетти2004
03.08.2020 15:06 •  Математика

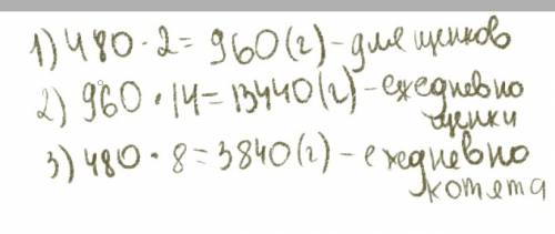
Впитомнике 8котят и14щенков.котятам отпускается ежедневно по 480 г корма ,для щенка требуется в 2раза больше корма ,чем для котенка.сколько корма ежедневно получают все щенки?

👇
Ответ:
haru2000
haru2000
03.08.2020
Вот
если что в почерке непонятно - пиши
Впитомнике 8котят и14щенков.котятам отпускается ежедневно по 480 г корма ,для щенка требуется в 2раз
4,4(49 оценок)
Ответ:
лера2083
лера2083
03.08.2020
480×2×14=13440 грамм=13кг 440 грамм
4,7(57 оценок)
Открыть все ответы
Ответ:
elenanovikova21
elenanovikova21
03.08.2020
Надеюсь, что скобочки означали возведение в соответствующую степень.

Выражение 2^{2015}+2^{2014}+...+2^3+2^2+2^1+2^0 в двоичной записи представляет собой 2016 единиц.
Число 6 записывается как 110.
Складываем их в столбик в двоичной системе:
  11...1111
+
          110
-----------------
100..0101

Последний разряд: 1+0 = 1
Предпоследний: 1+1 = 0 (1- перенос)
Второй: 1+1+1(перенос) = 1 (1-перенос)
Все остальные: 1+0+1(перенос) = 0 (1-перенос)

Т.о., нулевыми будут все разряды, кроме последнего и второго. И единичный перенос из старшего разряда в следующий (2016).
Всего нулей в записи будет 2016-2 = 2014.

P.S. В условии сказано, что сначала вычислили, прибавили 6 и затем перевели в двоичную систему счисления, а в моем решении все действия производятся в двоичной с.с. Это не имеет никакого значения, потому что все системы равноправны и вычисления в десятичной с.с. с последующим переводом в двоичную, и перевод в двоичную систему с последующими вычислениями дают одинаковые результаты.
4,6(62 оценок)
Ответ:
denisDergunov
denisDergunov
03.08.2020
15,6 :х = 2.6                              5.12х = 20.48              0.405 : х = 1.5
х = 15.6 : 2.6                              х = 20.48 : 5.12           х = 0.405 : 1,5                      х =6                                            х = 4                            х = 0,27 

8.75 : х = 2.5                              0.005х = 4.65              2.24 : х = 0.14
х = 8.75 :.2.5                               х = 4.65 : 0.005           х = 2.24 : 0.14       
х = 3.5                                         х = 930                        х= 16
4,5(57 оценок)
Это интересно:
Новые ответы от MOGZ: Математика
logo
Вход Регистрация
Что ты хочешь узнать?
Спроси Mozg
Открыть лучший ответ