М
Молодежь
К
Компьютеры-и-электроника
Д
Дом-и-сад
С
Стиль-и-уход-за-собой
П
Праздники-и-традиции
Т
Транспорт
П
Путешествия
С
Семейная-жизнь
Ф
Философия-и-религия
Б
Без категории
М
Мир-работы
Х
Хобби-и-рукоделие
И
Искусство-и-развлечения
В
Взаимоотношения
З
Здоровье
К
Кулинария-и-гостеприимство
Ф
Финансы-и-бизнес
П
Питомцы-и-животные
О
Образование
О
Образование-и-коммуникации
gspd000
gspd000
20.12.2021 16:38 •  Математика

Числитель и знаменатель дроби положительные числа. числитель увеличили на 1, а знаменатель - на 100. может ли полученная дробь оказаться больше исходной?

👇
Ответ:
moldabaevamaria
moldabaevamaria
20.12.2021
Общий случай:
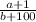
Пусть исходная дробь \frac{a}{b} , тогда новая  дробь имеет вид:
\frac{a+1}{b+100}
.
Если полученная дробь больше исходной, то:
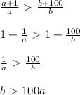
\frac{a+1}{b+100} \ \textgreater \ \frac{a}{b}

Т.к. a>0, b>0

\frac{a+1}{a} \ \textgreater \ \frac{b+100}{b} \\ \\1+ \frac{1}{a} \ \textgreater \ 1+ \frac{100}{b} \\ \\\frac{1}{a} \ \textgreater \ \frac{100}{b} \\ \\ b\ \textgreater \ 100a

Значит такой вариант возможен если знаменатель дроби более чем в 100 раз больше числителя.

Рассмотрим на наглядном примере.
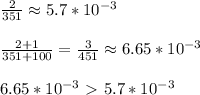
\frac{2}{351} \approx 5.7*10^{-3} \\ \\ \frac{2+1}{351+100}= \frac{3}{451} \approx 6.65*10^{-3} \\ \\ 6.65*10^{-3}\ \textgreater \ 5.7*10^{-3}

Из этого примера видно, что полученная дробь больше исходной.
4,5(18 оценок)
Открыть все ответы
Ответ:
DeteRno
DeteRno
20.12.2021

100

Пошаговое объяснение:

Для начала нужно найти длину ребра куба

S=a² - площадь грани куба (грань - квадрат)

√400=20 - ребро

Путь мухи состоит из трех вертикальных отрезков и четырех горизонтальных частей.

Все вертикальные отрезки равны ребру куба (они параллельны вертикальному ребру куба и соединяют пересекают два противоположных ребра) и равны по 20

20*3=60

На левой грани куба две горизонтальные части вместе образуют отрезок, равный одному ребру.

На задней грани то же самое: две горизонтальные части вместе образуют отрезок, равный одному ребру.

Горизонтальный путь равен 20*2=40

60+40=100 - весь путь мухи

4,4(83 оценок)
Ответ:
Ааааа111235
Ааааа111235
20.12.2021

Неравенство треугольника : каждая сторона треугольника меньше суммы двух других сторон.

По условию можно рассмотреть два варианта

1) a = b = 7 см;   с = 15 см

  15 < 7 + 7   -  неверно, то есть построить треугольник со сторонами 7 см, 7 см и 15 см невозможно ( см. рис.), две короткие стороны не сомкнутся.

2) a = b = 15 см;  с = 7 см

  15 < 15 + 7;   7 < 15 + 15   -  верно, можно построить равнобедренный треугольник со сторонами   15 см, 15 см, 7 см.

Так как у равнобедренного треугольника боковые стороны равны, значит, боковая сторона равна 15 см.


В равнобедренном треугольнике две стороны равны 15 см и 7 см. Найти длину боковой стороны треугольни
4,4(84 оценок)
Это интересно:
Новые ответы от MOGZ: Математика
logo
Вход Регистрация
Что ты хочешь узнать?
Спроси Mozg
Открыть лучший ответ