М
Молодежь
К
Компьютеры-и-электроника
Д
Дом-и-сад
С
Стиль-и-уход-за-собой
П
Праздники-и-традиции
Т
Транспорт
П
Путешествия
С
Семейная-жизнь
Ф
Философия-и-религия
Б
Без категории
М
Мир-работы
Х
Хобби-и-рукоделие
И
Искусство-и-развлечения
В
Взаимоотношения
З
Здоровье
К
Кулинария-и-гостеприимство
Ф
Финансы-и-бизнес
П
Питомцы-и-животные
О
Образование
О
Образование-и-коммуникации
ТыУмНыЙ
ТыУмНыЙ
29.12.2021 22:53 •  Математика

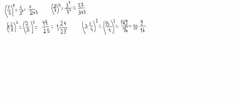
(1/3)в пятой степени , (3/7)в третей степени , (1 2/5)в второй степени ,(3 1/4)в второй степени . зарание

👇
Ответ:
Amshvd
Amshvd
29.12.2021
Смотри решение внизу

(1/3)в пятой степени , (3/7)в третей степени , (1 2/5)в второй степени ,(3 1/4)в второй степени . за
4,4(80 оценок)
Открыть все ответы
Ответ:
misterion10
misterion10
29.12.2021
1.
S=S1+S2
S1-путь пройденный слоном
S2-путь пройденный слоненком
S1=v1*t, где V1-скорость слона=60м/мин t=10мин
S1=60*10=600м слон
S2=v2*t, где v2-скорость слоненка=20м/мин t=10мин
S2=20*10=200м слоненок
S=600+200=800м.
ответ:800метров
2.
1)S2=S-S1
где S2-путь который второй всадник=2x
S-расстояние которое было между ними =54км
S1-путь который всадник=2*13=26км
S2=54-26=28км
v2=S2/t=28/2=14км/ч
ответ:14км/ч
3.
S=560км-расстояние которое должно быть через t часов
v1=72км/ч-скорость первого поезда
v2=68км/ч-скорость второго поезда
t=S/(v1+v2)
t=560/(72+68)=560/140=4
ответ:через 4 часа
4.
S=360км
v1=28км/ч-скорость первого теплохода
t=6ч
Пусть путь пройденный вторым теплоходом S2=6*V2
S=S1+S2
S2=S-S1
S1=V1*t=28*6=168км
S2=360-168=192км второй теплоход
v2=192/6=32км/ч
ответ:32км/ч
4,7(48 оценок)
Ответ:
Maryyy100
Maryyy100
29.12.2021
№1.
1) 13 * 2 = 26 (км) - проехал до встречи первый всадник.
2) 54 - 26 = 28 (км) - проехал до встречи второй всадник.
3) 28 : 2 = 14 (км/ч) - скорость второго всадника.
ответ: скорость второго всадника 14 км/ч.

№2.
Ркв. = а*4, а - сторона квадрата
а = 12 : 4 = 3 см - сторона квадрата
Ищем стороны прямоугольника:
одна сторона - ширина - равна 3 см.
вторая сторона - длина - равна 3 * 3 = 9 см
Рпр. = (а + b) * 2
Рпр. = (3+9) * 2 = 12 * 2 = 24 см
Sпр. = a*b
Sпр. = 3 * 9 = 27 см2
ответ: периметр прямоугольника равен 24 см,
           площадь прямоугольника равна 27 см2.
4,6(45 оценок)
Это интересно:
Новые ответы от MOGZ: Математика
Полный доступ к MOGZ
Живи умнее Безлимитный доступ к MOGZ Оформи подписку
logo
Вход Регистрация
Что ты хочешь узнать?
Спроси Mozg
Открыть лучший ответ