М
Молодежь
К
Компьютеры-и-электроника
Д
Дом-и-сад
С
Стиль-и-уход-за-собой
П
Праздники-и-традиции
Т
Транспорт
П
Путешествия
С
Семейная-жизнь
Ф
Философия-и-религия
Б
Без категории
М
Мир-работы
Х
Хобби-и-рукоделие
И
Искусство-и-развлечения
В
Взаимоотношения
З
Здоровье
К
Кулинария-и-гостеприимство
Ф
Финансы-и-бизнес
П
Питомцы-и-животные
О
Образование
О
Образование-и-коммуникации
Alisarerete
Alisarerete
17.07.2020 02:42 •  Математика

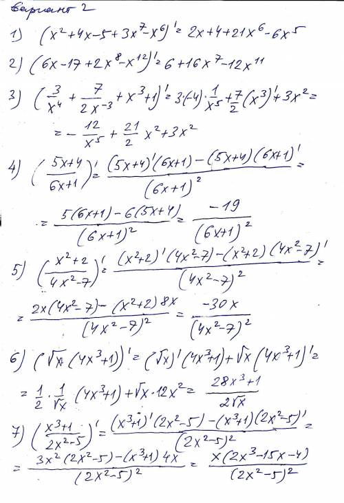
Решить пределы, умоляю вас блин

👇
Ответ:
myyyrrr
myyyrrr
17.07.2020

решение на листочке

Пошаговое объяснение:


Решить пределы, умоляю вас блин
4,6(52 оценок)
Открыть все ответы
Ответ:
mixfix2017
mixfix2017
17.07.2020

Сначала, раскроем первую скобку, умножив то число, которое находится сразу перед скобкой, на каждое число в скобке, учитывая знаки. Вторую скобку можно просто убрать, но если перед ней есть знак «–», то все знаки чисел поменяются:

0,5(8x + 1) = 1,5 – (9 – 4x)

4х + 0,5 = 1,5 – 9 + 4х

Числа с «х» переведём на левую сторону, без «х» — на правую. Переведённое на противоположную сторону число поменяет свой знак.

4х + 0,5 = 1,5 – 9 + 4х

4х – 4х = 1,5 – 9 – 0,5

0х = 0

х ∈ ∞

(∞ — уравнение имеет бесконечное количество корней. Уравнение имеет бесконечное количество корней, когда и коэффициент переменной равен 0, и правая сторона равна 0)

4,7(75 оценок)
Ответ:
aishaolzhas
aishaolzhas
17.07.2020
Вопрос состоит из нескольких частей. Давайте рассмотрим их по очереди.

1) В первой части вопроса даны числа: 2, 1, 2, 7. Нам нужно разделить каждое из этих чисел на 10 и записать результат в виде десятичной дроби.

Для этого мы делим каждое число на 10 и записываем результат:

2 ÷ 10 = 0,2
1 ÷ 10 = 0,1
2 ÷ 10 = 0,2
7 ÷ 10 = 0,7

Ответ: 0,2, 0,1, 0,2, 0,7

2) Во второй части вопроса даны числа: 1, 3, 8, 7, 1. Нам нужно разделить каждое из этих чисел на 2 и записать результат в виде десятичной дроби.

Для этого мы делим каждое число на 2 и записываем результат:

1 ÷ 2 = 0,5
3 ÷ 2 = 1,5
8 ÷ 2 = 4
7 ÷ 2 = 3,5
1 ÷ 2 = 0,5

Ответ: 0,5, 1,5, 4, 3,5, 0,5

3) В третьей части вопроса даны числа: 6, 3, 7, 9. Нам нужно разделить каждое из этих чисел на 100 и записать результат в виде десятичной дроби.

Для этого мы делим каждое число на 100 и записываем результат:

6 ÷ 100 = 0,06
3 ÷ 100 = 0,03
7 ÷ 100 = 0,07
9 ÷ 100 = 0,09

Ответ: 0,06, 0,03, 0,07, 0,09

4) В четвертой части вопроса даны числа: 9, 9, 9, 2, 2, 36. Нам нужно разделить каждое из этих чисел на 1000 и записать результат в виде десятичной дроби.

Для этого мы делим каждое число на 1000 и записываем результат:

9 ÷ 1000 = 0,009
9 ÷ 1000 = 0,009
9 ÷ 1000 = 0,009
2 ÷ 1000 = 0,002
2 ÷ 1000 = 0,002
36 ÷ 1000 = 0,036

Ответ: 0,009, 0,009, 0,009, 0,002, 0,002, 0,036

Надеюсь, это помогло понять, что нужно делать в каждой части вопроса. Если у вас есть еще вопросы, не стесняйтесь задавать.
4,4(16 оценок)
Новые ответы от MOGZ: Математика
logo
Вход Регистрация
Что ты хочешь узнать?
Спроси Mozg
Открыть лучший ответ