М
Молодежь
К
Компьютеры-и-электроника
Д
Дом-и-сад
С
Стиль-и-уход-за-собой
П
Праздники-и-традиции
Т
Транспорт
П
Путешествия
С
Семейная-жизнь
Ф
Философия-и-религия
Б
Без категории
М
Мир-работы
Х
Хобби-и-рукоделие
И
Искусство-и-развлечения
В
Взаимоотношения
З
Здоровье
К
Кулинария-и-гостеприимство
Ф
Финансы-и-бизнес
П
Питомцы-и-животные
О
Образование
О
Образование-и-коммуникации
ангелина867
ангелина867
16.11.2021 10:05 •  Математика

На сколько нулей оканчивается значение произведения 2050⋅5020?

👇
Ответ:
Kazhyal
Kazhyal
16.11.2021
2050*5020 = 205*502*10^2.
При умножении 205 и 502 в конце будет еще один ноль (2*5 = 10)
В итоге после умножения 2050 и 5020 значение произведения будет оканчиваться на 3 нуля.

ответ: 3.

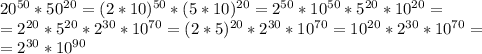
"простите, я не так напсал На сколько нулей оканчивается значение произведения 20в 50 степени умножить 50 в 20 степени?"

20^{50}*50^{20}

Я придумал решения этой задачи, вот один из них:

20^{50}*50^{20} = (2*10)^{50}*(5*10)^{20} = 2^{50}*10^{50}*5^{20}*10^{20}=\\=2^{20}*5^{20}*2^{30}*10^{70}=(2*5)^{20}*2^{30}*10^{70}=10^{20}*2^{30}*10^{70}=\\=2^{30}*10^{90}

И того: 90 нулей.
(2 в какой бы то ни было степени 0 не даст, поэтому 2 в 30 просто отметается)
4,4(87 оценок)
Открыть все ответы
Ответ:
ohotniktv509
ohotniktv509
16.11.2021
(красная строка) Труд человека зимой очень тяжёлый.Даже у самого простого дворника много дел.Например если ты замечал когда шёл в школу то дорога был расчищена то это сделал дворник.
(2 красная строка) Но например есть люди помимо него ещё люди которые прокладывают маршрут для лыжников когда они хотят съехать с горы.Делают спецальные ограждения ищут место там где тебе и всем будет безопасно скатываться.Это тоже труд.Представь себя на его месте.
(3 красная строка) Труд человека можно перечислять бесконечно.Но его нужно и уважать!
4,8(63 оценок)
Ответ:
Ania151
Ania151
16.11.2021
№1
4,25 ! 3,4                      2,65  ! 3,2
34      1, 25                    256    0,82
   85                                    90
   68                                    64
   170                                  26 (ост)
   170
№2
25*(4 -18) = 25* (-14) = -350
7-11+6-15+11 = 7+6-15 = -2          (-11+11=0)
№3
Здесь 2 варианта как нужно, так и запиши
1. 6500 * 0,95 = 6 175 руб (заплатил покупатель)  ( 100% -5% скидка = 95%, а в        десятичных дробях это 0,95)
2. 6500 - 100%
     х - 95%
   х = 6500 * 95 : 100 = 6175 руб
№4
1) х+17 = 7
     х = 7 - 17 = -10
2)  2х+17 = 7
     2х = 7 - 17 = -10
     х = -10 : 2 = -5
4,4(92 оценок)
Новые ответы от MOGZ: Математика
logo
Вход Регистрация
Что ты хочешь узнать?
Спроси Mozg
Открыть лучший ответ