М
Молодежь
К
Компьютеры-и-электроника
Д
Дом-и-сад
С
Стиль-и-уход-за-собой
П
Праздники-и-традиции
Т
Транспорт
П
Путешествия
С
Семейная-жизнь
Ф
Философия-и-религия
Б
Без категории
М
Мир-работы
Х
Хобби-и-рукоделие
И
Искусство-и-развлечения
В
Взаимоотношения
З
Здоровье
К
Кулинария-и-гостеприимство
Ф
Финансы-и-бизнес
П
Питомцы-и-животные
О
Образование
О
Образование-и-коммуникации

Найти общий интеграл дифференциального уравнения 1) (x-y*cos(y/x))*dx+x*cos(y/x)*dy=0 2) xy+y^2=(2*x^2+xy)*y'

👇
Ответ:
sweetmur
sweetmur
16.05.2023
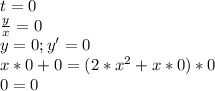
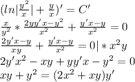
(x-y*cos\frac{y}{x})+x*cos\frac{y}{x}*y'=0\\(\lambda x-\lambda y*cos\frac{\lambda y}{\lambda x})+\lambda x*cos\frac{\lambda y}{\lambda x}*y'=0\\(x-y*cos\frac{y}{x})+x*cos\frac{y}{x}*y'=0\\y=tx;y'=t'x+t\\x-xtcost+xcost(t'x+t)=0\\x+x^2costt'=0\\1+xcost\frac{dt}{dx}=0|*\frac{dx}{x}\\costdt=-\frac{dx}{x}\\\int costdt=-\int\frac{dx}{x}\\sint=-ln|x|+C\\sin\frac{y}{x}+ln|x|=C\\

(sin\frac{y}{x}+ln|x|)'=C'\\cos\frac{y}{x}*\frac{y'-y}{x^2}+\frac{1}{x}=0|*x^2\\cos\frac{y}{x}(y'-y)+x=0\\x+y'cos\frac{y}{x}-y*cos\frac{y}{x}=0\\(x-ycos\frac{y}{x})dx+ycos\frac{y}{x}dy=0
_____________________________________
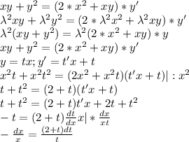
xy+y^2=(2*x^2+xy)*y'\\\lambda^2xy+\lambda^2y^2=(2*\lambda^2x^2+\lambda^2xy)*y'\\\lambda^2(xy+y^2)=\lambda^2(2*x^2+xy)*y\\xy+y^2=(2*x^2+xy)*y'\\y=tx;y'=t'x+t\\x^2t+x^2t^2=(2x^2+x^2t)(t'x+t)|:x^2\\t+t^2=(2+t)(t'x+t)\\t+t^2=(2+t)t'x+2t+t^2\\-t=(2+t)\frac{dt}{dx}x|*\frac{dx}{xt}\\-\frac{dx}{x}=\frac{(2+t)dt}{t}\\
При делении теряем решение:
t=0\\\frac{y}{x}=0\\y=0;y'=0\\x*0+0=(2*x^2+x*0)*0\\0=0
Запоминаем, едем дальше
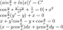
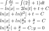
-\int\frac{dx}{x}=\int(2\frac{1}{t}+1)dt\\-ln|x|=2ln|t|+t+C\\ln|x|+ln|t^2|+t=C\\ln|x|+ln|\frac{y^2}{x^2}+\frac{y}{x}=C\\ln|\frac{y^2}{x}|+\frac{y}{x}=C;y=0

(ln|\frac{y^2}{x}|+\frac{y}{x})'=C'\\\frac{x}{y^2}*\frac{2yy'x-y^2}{x^2}+\frac{y'x-y}{x^2}=0\\\frac{2y'x-y}{xy}+\frac{y'x-y}{x^2}=0|*x^2y\\2y'x^2-xy+yy'x-y^2=0\\xy+y^2=(2x^2+xy)y'
4,5(54 оценок)
Открыть все ответы
Ответ:
numucirad
numucirad
16.05.2023
Менеджмент - особый тип социальной управленческой деятельности,который превращает неорганизованную массу людей в эффективно целенаправленную и производительно организованную группу.
Менеджмент зародился на рубеже 19-20 века
Разновидности менеджмента :
=Стратегический= занимается решением вопросов наиболее глобальной организации
=Инновационный=нововведения продукции, также любого рода нововведения
=производственный= управление производством
=маркетинг=сбыт и реализация товара
=финансовый=управление денежными отношениями
=управление персоналом=налаживает работу персонала,мотивирует
УРОВНИ УПРАВЛЕНИЯ ,проявление разделения труда в организациях
Горизонтальный:специалисты распределяются между различными функционал.областями
Вертикальный:пирамида подчинения ,"иерархия"

Все,что знаю ) Надеюсь,пригодится
4,8(48 оценок)
Ответ:
39OVERLORD39
39OVERLORD39
16.05.2023

20

Пошаговое объяснение:

Соединим центр окружности с концами хорд.

ОА = ОВ = ОС = OD как радиусы.

Проведем ОК⊥АВ и и OH⊥CD,

ОК = 21 - расстояние от центра до АВ,

ОН - искомое расстояние от центра до CD.

ΔОАВ равнобедренный, значит ОК - высота и медиана. ⇒

АК = КВ = 1/2АВ = 1/2 · 40 = 20

Из прямоугольного треугольника АКО по теореме Пифагора:

АО = √(АК² + КО²) = √(20² + 21²) = √(400 + 441) = √841 = 29

СО = АО = 29

ΔCOD равнобедренный, значит OН - высота и медиана, ⇒

СН = HD = 1/2CD = 1/2 · 42 = 21

Из прямоугольного треугольника СОН по теореме Пифагора:

OH = √(CO² - CH²) = √(29² - 21²) = √(841 - 441) = √400 = 20


Отрезки ав и сd являются окружности. найдите расстояние от центра окружности до хорды сd, если ab=40
4,4(4 оценок)
Это интересно:
Новые ответы от MOGZ: Математика
logo
Вход Регистрация
Что ты хочешь узнать?
Спроси Mozg
Открыть лучший ответ