М
Молодежь
К
Компьютеры-и-электроника
Д
Дом-и-сад
С
Стиль-и-уход-за-собой
П
Праздники-и-традиции
Т
Транспорт
П
Путешествия
С
Семейная-жизнь
Ф
Философия-и-религия
Б
Без категории
М
Мир-работы
Х
Хобби-и-рукоделие
И
Искусство-и-развлечения
В
Взаимоотношения
З
Здоровье
К
Кулинария-и-гостеприимство
Ф
Финансы-и-бизнес
П
Питомцы-и-животные
О
Образование
О
Образование-и-коммуникации
leg3
leg3
03.08.2020 14:49 •  Математика

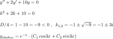
Найти общее решение линейного однородного дифференциального уравнения второго порядка с постоянными коэффициентами. y` `+2y`+10y=0

👇
Ответ:
MakcaBa
MakcaBa
03.08.2020
y''+2y'+10y=0\\\\k^2+2k+10=0\\\\D/4=1-10=-9\ \textless \ 0\; ,\; \; k_{1,2}=-1\pm \sqrt{-9}=-1\pm 3i\\\\y_{obshee}=e^{-x}\cdot (C_1\, cos3x+C_2\, sin3x)
4,4(11 оценок)
Открыть все ответы
Ответ:
mvyazaniya
mvyazaniya
03.08.2020
Воспитанный человек,какой же он? на мой взгляд,мало кто сейчас задумывается о том,каким должен быть воспитанный человек. Воспитанный человек - это тот человек,который впервую очередь думает не только о себе,но и о окружающих его людях. Воспитанный человек всегда вежлив,добр,уступчив; когда нужно, он может скрыть свои эмоции. Воспитанный человек- знает такое понятие,как ЭТИКЕТ и также соблюдает его. Воспитанный человек никогда не нахомит и неважно,кто это : стар или млад.Воспитанный человек встает,когда заходят старшие и уступает место. У  воспитанного человека есть чувство собственного достоинства. Воспитанный человек,в спорах,не пытается кому-то навязать свое мнение,ведь он Воспитан и уважает чужое мнение и даже прислушивается к нему. Воспитанный человек следит за своей речью,он не употребляет ненормативную лексику,у воспитанного человека очень богатый словарный запас. Воспитанный человек - хороший собеседник,который всегда выслушает,даст совет и никогда не перебьет разговаривающего. 
4,4(24 оценок)
Ответ:
caros14
caros14
03.08.2020
Я мрію побувати в Карпатах  в цих високих ,чистих горах...Відчути смак  гірського повітря  та покататися на санчатах.Мені подобаються Карпати тим що  у них  завжди присутній дух чарівного гірського сімьянина який  хоче щоб всі  були щасливі  і ніколи не ображалися на інших,вели здоровий б життя і любили свою сімью.Я розділяю ці почуття  з ним і хочу відчути  цей приємно гарне  життя  бо саме в Карпатах народжується дух свободи та дух  швидше  бути  дорослішим  хоча навіть  дорослі відчувають   смачний подих дитинства  який манить їх   залишитися дітьми ще хоть би на  хвильочку. Карпати  -  місто мрія , і тому я так хочу побувати в ньому
4,4(12 оценок)
Это интересно:
Новые ответы от MOGZ: Математика
logo
Вход Регистрация
Что ты хочешь узнать?
Спроси Mozg
Открыть лучший ответ