М
Молодежь
К
Компьютеры-и-электроника
Д
Дом-и-сад
С
Стиль-и-уход-за-собой
П
Праздники-и-традиции
Т
Транспорт
П
Путешествия
С
Семейная-жизнь
Ф
Философия-и-религия
Б
Без категории
М
Мир-работы
Х
Хобби-и-рукоделие
И
Искусство-и-развлечения
В
Взаимоотношения
З
Здоровье
К
Кулинария-и-гостеприимство
Ф
Финансы-и-бизнес
П
Питомцы-и-животные
О
Образование
О
Образование-и-коммуникации
peatkina1106200
peatkina1106200
03.08.2020 14:49 •  Математика

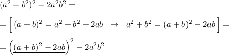
Объясните, , как из выражения: (a^2+б^2)^2-2а^2б^2=((а+б)^2-2)^2-2. не понятно, как убрали квадраты над буквами в первой скобке

👇
Ответ:
Steyflie
Steyflie
03.08.2020
(\underline {a^2+b^2})^2-2a^2b^2=\\\\=\Big [\, (a+b)^2=a^2+b^2+2ab\; \; \to \; \; \underline {a^2+b^2}=(a+b)^2-2ab\, \Big ]=\\\\=\Big (\underline {(a+b)^2-2ab}\Big )^2-2a^2b^2
4,4(13 оценок)
Открыть все ответы
Ответ:
yuralavrenov2016
yuralavrenov2016
03.08.2020

1. а) 11

  б) - 16

  в) 10

  г) 48

  д) 44

2. а) 0

   б) - 13

   в) 24

   г) 50

   д) 3

3. а) - 8

   б) 23

   в) - 33

4. а) - 40

   б) 23

   в) - 33

Пошаговое объяснение:

1. Раскройте скобки и вычислите:

Чтобы раскрыть скобки, нужно их просто убрать. Если перед скобками стоит +, то раскрывая их, знаки внутри скобок остаются теми же. Если стоит -, то знаки меняются на противоположные:

а) +(-15+7-8+11)= - 15 + 7 - 8 + 11=...

Теперь вычисляем:

... + 11= - 8 - 8 + 11= 0 + 11= 11

ответ: 11

Тоже самое проделываем со следующим примером. Здесь, перед скобками стоит -, значит знаки внутри скобок меняем:

б) -(12-9+14-1)= - 12 + 9 - 14 + 1= - 3 - 14 + 1= - 17 + 1= - 16

ответ: - 16

Следующий пример решаем так же:

в) 17-(6+5-4)= 17 - 6 - 5 + 4= 11 - 5 + 4= 6 + 4= 10

ответ: 10

г) 26+(14-7+15)= 26 + 14 - 7 + 15 = 40 - 7 + 15= 33 + 15= 48

ответ: 48

д) 150-(100+25-17)+2 = 150 - 100 - 25 + 17 + 2= 50 - 25 + 17 + 2= 25 + 17 + 2= 42 + 2= 44

ответ: 44

2. Раскройте скобки и вычислите:

а) +(5-2-7+4) = 0

б) -(12-6+17-10) = - 13

в) 20+(7-11+8) = 24

г) 31-(-9+40-50) = 50

д) 12-(5+6-2) = 3

3. Заключите слагаемые в скобки, перед которыми стоит знак «плюс» (вычислите):

а) -4+16-20  = - 8

б) (18+15)-10  = 23

в) -10-11-12 = - 33

4. Заключите слагаемые в скобки,перед которыми стоит знак «минус»:

а) -(4+16)-20  = - 40

б) 18+15-10  = 23

в) -10-11-12 = - 33

4,7(48 оценок)
Ответ:
oaooks
oaooks
03.08.2020

Верно

Пошаговое объяснение:

Простое число — натуральное (целое положительное) число, имеющее ровно два различных натуральных делителя — единицу и самого себя. ⇒ простое число не может быть четным (тогда бы оно делось на 2).

В математике есть такое правило: Произведение может быть нечетным, если все сомножители нечетны. ⇒ произведение 2=х простых чисел всегда нечетное число.

Доказательство этого правила (если нужно):

Пусть числа а и b являются нечетными. Докажем, что число n = а • b также нечетно.

a = 2k + 1, b= 2p + 1, где k и p - целые числа.

Тогда n= a • b = (2k+1) • (2p+1) = 4kp + 2k + 2p + 1 = 2(2kp + k + p) + 1 = 2s +1 (число нечетное). Если числа k и p являются целыми, то число s = 2kp + k + p - тоже целое число.

Мы доказали, что число n может быть представлено в виде n= 2s + 1, следовательно, является нечетным. Ч. т. д.

4,6(21 оценок)
Это интересно:
Новые ответы от MOGZ: Математика
logo
Вход Регистрация
Что ты хочешь узнать?
Спроси Mozg
Открыть лучший ответ