М
Молодежь
К
Компьютеры-и-электроника
Д
Дом-и-сад
С
Стиль-и-уход-за-собой
П
Праздники-и-традиции
Т
Транспорт
П
Путешествия
С
Семейная-жизнь
Ф
Философия-и-религия
Б
Без категории
М
Мир-работы
Х
Хобби-и-рукоделие
И
Искусство-и-развлечения
В
Взаимоотношения
З
Здоровье
К
Кулинария-и-гостеприимство
Ф
Финансы-и-бизнес
П
Питомцы-и-животные
О
Образование
О
Образование-и-коммуникации
Урок541
Урок541
05.03.2021 18:07 •  Математика

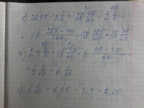
Выполните действие 24 2/3 -( 20,95 - 2 1/3) - 3,4

👇
Ответ:
Гашин
Гашин
05.03.2021
Смотри фото))))))))))))))
Выполните действие 24 2/3 -( 20,95 - 2 1/3) - 3,4
4,4(95 оценок)
Открыть все ответы
Ответ:
yakubovmalik
yakubovmalik
05.03.2021
А)восемьсот девять = 809
б)пять тысяч двести одиннадцать = 5211
в)двадцать два миллиона три тысячи восемь = 22 003 008
г)двадцать восемь миллионов пятнадцать тысяч триста два = 28 015 302
д)пятьсот семь миллионов восемьдесят тысяч = 507 080 000
е)один миллиард десять миллионов девять тысяч = 1 010 009 000
ж)четыреста двадцать три миллиарда триста сорок миллионов шестьсот тысяч девятьсот восемьдесят = 423 340 600 980
з)пятьдесят два миллиарда восемь тысяч двенадцать
и)семьсот семьдесят семь миллиардов шестьдесят восемь тысяч = 777 000 068 000
к)девять миллиардов пятьдесят пять тысяч = 9 000 055 000
4,5(97 оценок)
Ответ:
Iskoniko
Iskoniko
05.03.2021
А)восемьсот девять = 809
б)пять тысяч двести одиннадцать = 5211
в)двадцать два миллиона три тысячи восемь = 22 003 008
г)двадцать восемь миллионов пятнадцать тысяч триста два = 28 015 302
д)пятьсот семь миллионов восемьдесят тысяч = 507 080 000
е)один миллиард десять миллионов девять тысяч = 1 010 009 000
ж)четыреста двадцать три миллиарда триста сорок миллионов шестьсот тысяч девятьсот восемьдесят = 423 340 600 980
з)пятьдесят два миллиарда восемь тысяч двенадцать
и)семьсот семьдесят семь миллиардов шестьдесят восемь тысяч = 777 000 068 000
к)девять миллиардов пятьдесят пять тысяч = 9 000 055 000
4,8(65 оценок)
Это интересно:
Новые ответы от MOGZ: Математика
logo
Вход Регистрация
Что ты хочешь узнать?
Спроси Mozg
Открыть лучший ответ