М
Молодежь
К
Компьютеры-и-электроника
Д
Дом-и-сад
С
Стиль-и-уход-за-собой
П
Праздники-и-традиции
Т
Транспорт
П
Путешествия
С
Семейная-жизнь
Ф
Философия-и-религия
Б
Без категории
М
Мир-работы
Х
Хобби-и-рукоделие
И
Искусство-и-развлечения
В
Взаимоотношения
З
Здоровье
К
Кулинария-и-гостеприимство
Ф
Финансы-и-бизнес
П
Питомцы-и-животные
О
Образование
О
Образование-и-коммуникации
ЛесяКисс
ЛесяКисс
16.12.2020 07:14 •  Математика

Вычислить площадь фигуры ограниченной осью абсцисс графиком функции f(x)=-x^2+5x

👇
Ответ:
ZloYDedyskA
ZloYDedyskA
16.12.2020
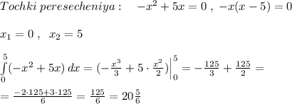
Tochki\; peresecheniya:\quad -x^2+5x=0\; ,\; -x(x-5)=0\\\\x_1=0\; ,\; \; x_2=5\\\\ \int\limits^5_0 (-x^2+5x)\, dx =(-\frac{x^3}{3}+5\cdot \frac{x^2}{2})\Big |_0^5 =- \frac{125}{3}+ \frac{125}{2}=\\\\= \frac{-2\cdot 125+3\cdot 125}{6}=\frac{125}{6}=20 \frac{5}{6}
4,4(50 оценок)
Открыть все ответы
Ответ:
RaidFrame
RaidFrame
16.12.2020
1) Если число нечетное, то при делении на 2 в остатке будет 1.
Так как 543 нечетное число, значит, при делении на 2 в остатке будет 1.

2) Если в каком либо числе в разряде единиц не стоит цифра 5 или 0, то при делении такого числа на 5 в остатке будет цифра из разряда единиц.

Так как в числе 543 в разряде единиц стоит цифра 3, то при делении 543 на 5 в остатке будет 3.

3) Число делится на 9, если сумма его цифр делится на 9.
5 + 4 + 3 = 12
12 не делится на 9, но если от 12 отнять 9, получим остаток, который получился бы при делении 543 на 9.
12 - 9 = 3 (осток)
4,8(60 оценок)
Ответ:
198565
198565
16.12.2020
45 мин = 45/60 ч = 3/4 ч
Примем расстояние от А до В за 1.
1 : (3/4) = 4/3 - условная скорость сближения.
Пусть х ч затратил на весь путь мотоци тогда (х + 2) ч затратил на весь путь велосипедист.
1/х - условная скорость мотциклиста.
1/(х + 2) - условная скорость велосипедиста.
1/х + 1/(х + 2) = 4/3
3(х + 2) + 3х = 4х(х + 2)
3х + 6 + 3х = 4х^2 + 8х
6х + 6 = 4х^2 + 8х
4х^2 + 8х - 6х - 6 = 0
4х^2 + 2х - 6 = 0
2х^2 + х - 3 = 0

D = 1 - 4 • 2 • (-3) = 25 = 5^2.
х(1) = (-1 + 5)/(2 • 2) = 1 (ч) - время в аути мотоциклиста.
х(2) = (-1 - 5)/(2 • 2) = - 1,5 (ч) - не подходит.
1 + 2 = 3 (ч) - время в пути велосипедиста.
ответ: на путь из В в А велосипедист затратил 3 часа.
4,6(62 оценок)
Это интересно:
Новые ответы от MOGZ: Математика
logo
Вход Регистрация
Что ты хочешь узнать?
Спроси Mozg
Открыть лучший ответ