М
Молодежь
К
Компьютеры-и-электроника
Д
Дом-и-сад
С
Стиль-и-уход-за-собой
П
Праздники-и-традиции
Т
Транспорт
П
Путешествия
С
Семейная-жизнь
Ф
Философия-и-религия
Б
Без категории
М
Мир-работы
Х
Хобби-и-рукоделие
И
Искусство-и-развлечения
В
Взаимоотношения
З
Здоровье
К
Кулинария-и-гостеприимство
Ф
Финансы-и-бизнес
П
Питомцы-и-животные
О
Образование
О
Образование-и-коммуникации
Sanya055
Sanya055
03.03.2021 15:14 •  Математика

1целая 2/3+3 целых 4/5
, , сегодня здавать, умоляю

👇
Ответ:
Улаган
Улаган
03.03.2021

Пошаговое объяснение:

решение смотри внизу.приводим к общему знаменателю,складываем и выделяем целую часть.


1целая 2/3+3 целых 4/5 , , сегодня здавать, умоляю
4,7(52 оценок)
Ответ:
lysiya1
lysiya1
03.03.2021

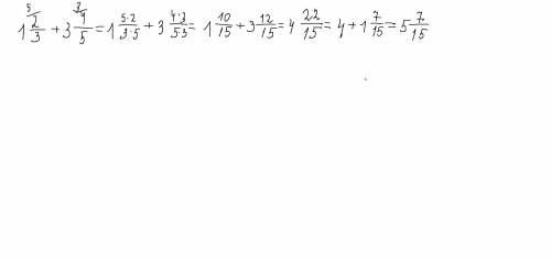
ответ: 1 2/3+3 4/5=5/3+19/5=(5*5+19*3)/15=82/15=5 7/15.

Пошаговое объяснение:

4,5(57 оценок)
Открыть все ответы
Ответ:
36kot361
36kot361
03.03.2021
Студент по обмену в настоящее время популярны взгляд. путешествовать шулер в группах с преподавателем из своей страны в другую страну, так и за рубежом. в каждой принимающей стране шулер живет в семье. (таких семей heiben принимающие семьи). дети, как правило, хорошо понимал, и скоро дружить, так что прощай затем падает тяжело. приехав домой, они тогда , что их иностранных друзей. это komeen, а затем жить в принимающих семьях, и они получают uderall тепло. обмен школы версий пшие хорошие возможности для наблюдения за повседневной семейной жизни за рубежом и навыки verdessern языка. многие студенты используют эти возможности, чтобы выучить иностранный язык быстрее.
4,5(14 оценок)
Ответ:
khubulovaliza
khubulovaliza
03.03.2021
Из программы теперь вот популярным . в schuler путешествуют в группах с учителем из своей страны в другую страну , так и за рубеж . в стране живет на каждого ученика в семье. ( такие семьи heiben семьях. ) детям понять себя обычно хорошо, и вскоре друзья , так что расставание затем тяжело падает . приехав домой , вы ожидаете, то их зарубежных друзей. эти komeen и жизни, то и в семьях , и вы получите вы uderall тепло . в schuleraustausch пшие хорошие возможности , жизни за рубежом и наблюдать за знания verdessern . многие schuler использовать эти возможности , чтобы быстрее выучить иностранный язык .
4,7(3 оценок)
Это интересно:
Новые ответы от MOGZ: Математика
logo
Вход Регистрация
Что ты хочешь узнать?
Спроси Mozg
Открыть лучший ответ