М
Молодежь
К
Компьютеры-и-электроника
Д
Дом-и-сад
С
Стиль-и-уход-за-собой
П
Праздники-и-традиции
Т
Транспорт
П
Путешествия
С
Семейная-жизнь
Ф
Философия-и-религия
Б
Без категории
М
Мир-работы
Х
Хобби-и-рукоделие
И
Искусство-и-развлечения
В
Взаимоотношения
З
Здоровье
К
Кулинария-и-гостеприимство
Ф
Финансы-и-бизнес
П
Питомцы-и-животные
О
Образование
О
Образование-и-коммуникации
Mаster001
Mаster001
10.11.2021 18:13 •  Математика

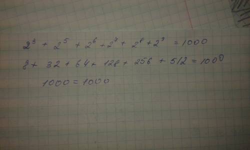
2в 3 степени плюс 2 в 5 степени плюс 2 в 6 степени плюс 2 в 7 степени плюс 2 в 8 степени плюс 2 в 9 степени равно 1000 проверь неравенства

👇
Ответ:
eminsultanov7
eminsultanov7
10.11.2021
Может так?
Просто перевести все и сложить. Вот и проверили.
2в 3 степени плюс 2 в 5 степени плюс 2 в 6 степени плюс 2 в 7 степени плюс 2 в 8 степени плюс 2 в 9
4,6(13 оценок)
Открыть все ответы
Ответ:
никнейм85
никнейм85
10.11.2021
Пусть х количество десятков, у кол. единиц в числе , тогда двузначное число можно записать так: 10х+у , а после перестановки оно будет вот таким: 10у+х, сказано, что оно уменьшится на 16. составим уравнение 10х+у=10у+х+16 выразим х через у 9х=9у+16 х=(9у+16)/9 у может быть любым числом от 0 до 9 проверяем: если у=0 х=16/9 чего не может быть, те это количество десятков и число должно получится от 1 до9 если у=1 х=34/9 не может быть и так далее при у=7 х=9 те искомое число 97 а число 79 на 16 меньше.
4,8(72 оценок)
Ответ:
Окончив школу, человек должен сделать самый ответственный в своей жизни шаг – выбрать профессию. профессия – это осознанно избранное русло, в которое ты будешь вкладывать много сил и времени. важно, чтобы способности и черты характера соответствовали твоему виду деятельности.          есть интересное высказывание: «найди то, что тебе нравится делать, и всю жизнь не работай». из него следует, что работа, профессия и призвание должны быть одним и тем же, в противном случае, ни одна из них не будет приносить ни радости, ни материального достатка.          что я хочу от своей будущей профессии? конечно, чтобы она была творческой и развивающей, чтобы в процессе работы я общался со многими интересными людьми и, возможно, ездил в другие города. во-вторых, я должен обладать определенными знаниями и способностями, чтобы быть лучшим в выбранной профессии. в-третьих, то, что я буду делать, должно приносить пользу обществу, а не только мне. и, наконец, моя будущая профессия должна нравиться мне, чтобы я каждый день не просыпался с мыслью: «опять на работу, когда же будет »         я понимаю, что в 17 лет сделать такой выбор сложно, поэтому сейчас можно только предполагать и строить планы. мне нравится профессия архитектора, который разрабатывает проекты будущих зданий, создает сначала маленькие макеты, а затем переносит задумку в реальность. безусловно, эта профессия требует большой базы знаний и умений, поэтому до своего первого сделанного проекта предстоит много учиться и пробовать.          работа архитектора объединяет в себе и творчество, и рациональность, и знания, и постоянное развитие. ведь если ты не будешь снова и снова учиться, узнавать новые методы строительства и другие тонкости профессии, можно надолго «застрять» в прошлом и остановиться на месте.          еще одно важное преимущество этого вида деятельности – полезность и значимость для общества. буквально своими руками повлиять на внешний вид города, в котором живешь, сделать свой двор, улицу, район такими, какими хотелось бы – все это может дать профессия архитектора. а что может быть лучше, чем дарить радость людям, которые впервые заходят в новое здание или квартиру? я смогу делать здания удобными и практичными и, в то же время, красивыми и радующими глаз. но до воплощения этих планов мне предстоит несколько лет учиться в институте, испортить горы бумаги для чертежей и килограммы картона для макетов.          если же по каким-то причинам профессия архитектора так и останется для меня мечтой, я попробую себя в других сферах. например, в . от зависит успешная работа предприятия или всего города. есть еще много разных интересных профессий, но, какая я бы работа ни была, начинать придется с самого начала, постигая все с самых мелочей. главное – творчески подходить к поставленной и смело идти к поставленной цели, не пугаясь проблем и препятствий. тогда работа будет приносить радость, самоутверждение и хорошую зарплату.
4,7(25 оценок)
Это интересно:
Новые ответы от MOGZ: Математика
logo
Вход Регистрация
Что ты хочешь узнать?
Спроси Mozg
Открыть лучший ответ