М
Молодежь
К
Компьютеры-и-электроника
Д
Дом-и-сад
С
Стиль-и-уход-за-собой
П
Праздники-и-традиции
Т
Транспорт
П
Путешествия
С
Семейная-жизнь
Ф
Философия-и-религия
Б
Без категории
М
Мир-работы
Х
Хобби-и-рукоделие
И
Искусство-и-развлечения
В
Взаимоотношения
З
Здоровье
К
Кулинария-и-гостеприимство
Ф
Финансы-и-бизнес
П
Питомцы-и-животные
О
Образование
О
Образование-и-коммуникации
СомСоми
СомСоми
13.07.2021 03:39 •  Математика

Если это возможно, то.. умножьте, , 1 целую 13/24 на 12/17, пример может быть неправильным. это просто результат решений одного примера, хд

👇
Ответ:
haka228
haka228
13.07.2021
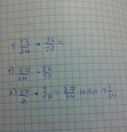
1 \frac{13}{24} * \frac{12}{17} =\frac{37}{24} * \frac{12}{17} =\frac{37}{24:12} * \frac{12:12}{17} =\frac{37}{2} * \frac{1}{17} =\frac{37*1}{2*17}= \\ \\ \\ =\frac{37}{34}=1 \frac{3}{34}
4,8(99 оценок)
Ответ:
Андре127
Андре127
13.07.2021
Держи там второй ответ если сокрощать
Если это возможно, то.. умножьте, , 1 целую 13/24 на 12/17, пример может быть неправильным. это прос
4,8(57 оценок)
Открыть все ответы
Ответ:
natabudnikova
natabudnikova
13.07.2021
Можно так: 
Пусть расстояние от города до села равно х км. Тогда из города в село турист шел х / 4,8 часов, а из села в город он шел х / 6 часов. 
Обратный путь он быстрее на 1 час, значит можно составить уравнение: 
х / 4,8 - х / 6 = 1 
0,2х = 4,8 
х = 24 
Расстояние от города до села равно 24 км. 
ответ. 24 км 

А можно так: 
пусть путь из города в село турист за х часов, тогда обратный путь, то есть из села в город, он за (х - 1) час. 
Уравнение: 
4,8х = 6(х - 1) 
6х - 6 = 4,8х 
1,2х = 6 
х = 5 часов 
4,8 * 5 = 24(км) - расстояние от города до села 
ответ. 24 км
4,6(8 оценок)
Ответ:
nataliacosciuc
nataliacosciuc
13.07.2021
Согласно правилам, владельцы частных домов должны обеспечить наличие на своих на участках бочки с водой или огнетушителя. Рядом с домами и зданиями запрещается оставлять емкости с легковоспламеняющимися и горючими жидкостями, горючими газами.В жилых домах и зданиях организаций и предприятий документ запрещает использовать чердаки, технические этажи, подвалы и цокольные этажи для организации производственных участков, мастерских, а также для хранения продукции, оборудования, мебели и других предметов. Также запрещается хранить мебель и вещи в подъезде под лестницей.«Запрещается на территориях поселений и городских округов, на объектах садоводческих, огороднических и дачных некоммерческих объединений граждан устраивать свалки горючих отходов», — говорится в документе.Также в документе устанавливаются правила безопасности на массовых мероприятиях, таких дискотеки, торжества, представления.Документ также устанавливает правила безопасности на транспорте. Так, автомобилям, согласно правилам, запрещается парковаться на крышках колодцев пожарных гидрантов и на площадках, где устанавливается пожарная техника. Утверждены и правила пожарной безопасности в метро.
4,5(63 оценок)
Новые ответы от MOGZ: Математика
logo
Вход Регистрация
Что ты хочешь узнать?
Спроси Mozg
Открыть лучший ответ