М
Молодежь
К
Компьютеры-и-электроника
Д
Дом-и-сад
С
Стиль-и-уход-за-собой
П
Праздники-и-традиции
Т
Транспорт
П
Путешествия
С
Семейная-жизнь
Ф
Философия-и-религия
Б
Без категории
М
Мир-работы
Х
Хобби-и-рукоделие
И
Искусство-и-развлечения
В
Взаимоотношения
З
Здоровье
К
Кулинария-и-гостеприимство
Ф
Финансы-и-бизнес
П
Питомцы-и-животные
О
Образование
О
Образование-и-коммуникации
vasxodd1
vasxodd1
10.05.2021 13:38 •  Математика

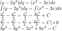
(y-2y³)dy=(x²-3x)dx дифференциальное уравнение решить

👇
Ответ:
Galina303
Galina303
10.05.2021
(y-2y^3)dy=(x^2-3x)dx\\\int(y-2y^3)dy=\int(x^2-3x)dx\\\frac{y^2}{2}-\frac{y^4}{2}=\frac{x^3}{3}-\frac{3x^2}{2}+C\\\frac{y^2}{2}-\frac{y^4}{2}-\frac{x^3}{3}+\frac{3x^2}{2}=C|*6\\3y^2-3y^4-2x^3+9x^2=C
4,7(61 оценок)
Открыть все ответы
Ответ:
Енотик83
Енотик83
10.05.2021
Так, вроде понятно

1. Арифметический

1) 98:2 = 49 (проще считать, начиная из середины)
2) 18:2 = 9 (из одной половины вычтем 9, к другой добавим 9. В сумме разница между ними будет равна 18)
3) 1 часть = 49+9 = 58
2 часть = 98-58 = 40
(либо 2 часть = 49-9 = 40)

2. Алгебраический

Пусть 1 часть сетки будет равна Х. А вторая часть сетки будет равна Х-18 (потому что вторая часть на 18 меньше). Тогда:
х+(х-18) = 98
х+х-18 = 98
2х-18 = 98
2х = 116 |:2
х=58 -  это 1 часть сетки
Тогда 2 часть = х-18 = 58-18 = 40

ответ: 40 ; 58
4,8(39 оценок)
Ответ:
aynaaaaa
aynaaaaa
10.05.2021
1. 3х+5у = 16 2х+3у = 9 /3 3х+5у = 16 0,67х+у = 3 3х+5у = 16 у = 3-0,67х 3х+5*(3-0,67х) = 16 3х+15-3,35х = 16 3х-3,35х = 16-15 -0,35х = 1 х = 1: (-0,35) х = -2,86 у = 3-0,67*(- 2,86) = 4,92 ответ: х = -2,86; у = 4,92. 2. 3х-5у=23 2х+3у=9 /3 3х-5у = 23 0,67х+у = 3 3х-5у = 23 у = 3-0,67х 3х-5*(3-0,67х) = 23 3х-15+3,35х = 23 6,35х = 23+15 6,35х = 38 х =5,98 у = 3-0,67*5,98 = 3-4 = -1 ответ: 5,98; -1. 2. 6х+5у=0 2х+3у=-8 /2 6х+5у = 0 х+1,5у = -4 6х+5у = 0 х = -4-1,5у 6*(-4-1,5у)+5у = 0 -24-9у+5у = 0 -4у = 24 у =-6 х = -4-1,5*(-6) = -4+9 = 5 ответ: 5; -6.
4,7(76 оценок)
Новые ответы от MOGZ: Математика
logo
Вход Регистрация
Что ты хочешь узнать?
Спроси Mozg
Открыть лучший ответ