М
Молодежь
К
Компьютеры-и-электроника
Д
Дом-и-сад
С
Стиль-и-уход-за-собой
П
Праздники-и-традиции
Т
Транспорт
П
Путешествия
С
Семейная-жизнь
Ф
Философия-и-религия
Б
Без категории
М
Мир-работы
Х
Хобби-и-рукоделие
И
Искусство-и-развлечения
В
Взаимоотношения
З
Здоровье
К
Кулинария-и-гостеприимство
Ф
Финансы-и-бизнес
П
Питомцы-и-животные
О
Образование
О
Образование-и-коммуникации
vika26vf
vika26vf
25.10.2022 22:24 •  Математика

Найти сумму первых членов ряда, и пользуясь непосредственно определением, выяснить сходимость ряда, найти его сумму

👇
Ответ:
brzruchkovika
brzruchkovika
25.10.2022

\displaystyle \lim_{n \to \infty} u_n=0 - необходимое условие сходимости ряда выполняется, ряд сходится.

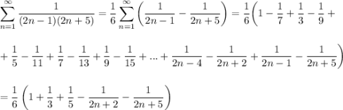
\displaystyle \sum^{\infty}_{n=1}\frac{1}{(2n-1)(2n+5)}=\frac{1}{6}\sum^{\infty}_{n=1}\left(\frac{1}{2n-1}-\frac{1}{2n+5}\right)=\frac{1}{6}\bigg(1-\frac{1}{7}+\frac{1}{3}-\frac{1}{9}+\\ \\ \\ +\frac{1}{5}-\frac{1}{11}+\frac{1}{7}-\frac{1}{13}+\frac{1}{9}-\frac{1}{15}+...+\frac{1}{2n-4}-\frac{1}{2n+2}+\frac{1}{2n-1}-\frac{1}{2n+5}\bigg)\\ \\ \\ =\frac{1}{6}\left(1+\frac{1}{3}+\frac{1}{5}-\frac{1}{2n+2}-\frac{1}{2n+5}\right)

\displaystyle S_n=\frac{1}{6}\left(1+\frac{1}{3}+\frac{1}{5}-\frac{1}{2n+2}-\frac{1}{2n+5}\right) - частичная сумма числового ряда. Переходя к пределу при n\to \infty, найдем сумму.

S=\displaystyle \lim_{n \to \infty}S_n= \frac{1}{6}\lim_{n \to \infty}\left(1+\frac{1}{3}+\frac{1}{5}-\frac{1}{2n+2}-\frac{1}{2n+5}\right)=\frac{1}{6}\cdot \left(1+\frac{1}{3}+\frac{1}{5}\right)=\\ \\ \\ =\frac{1}{6}\cdot \frac{15+5+3}{15}=\frac{23}{90}

Сходимость ряда выполняется.

4,7(61 оценок)
Открыть все ответы
Ответ:
shwabmitia
shwabmitia
25.10.2022

60 км/час

Пошаговое объяснение:

Расстояние S, пройденное за t часов со скоростью v км/час определяется по формуле S = v · t.

Если скорость равна 54 км/час, то за минуту автомобилист преодолеет

S = 54 км/час · 1 минут = 54 000 метр/ 60 минут · 1 минут = 900 метр

Тогда из 1900 метров за следующую 1 минуту осталось преодолеть

1900 метров - 900 метров = 1000 метров

Выразим скорость через расстояние и время. Из формулы  S = v · t получим: v = S / t. Определим скорость переведем единицы в км/ч​ас:

v = 1000 метр/1 минут = 1 км / 1 минут = 1 · 60  км / (1 · 60 минут) = 60 км/час.

 

4,4(68 оценок)
Ответ:
irinarassohina1
irinarassohina1
25.10.2022

60 км/час

Пошаговое объяснение:

Расстояние S, пройденное за t часов со скоростью v км/час определяется по формуле S = v · t.

Если скорость равна 54 км/час, то за минуту автомобилист преодолеет

S = 54 км/час · 1 минут = 54 000 метр/ 60 минут · 1 минут = 900 метр

Тогда из 1900 метров за следующую 1 минуту осталось преодолеть

1900 метров - 900 метров = 1000 метров

Выразим скорость через расстояние и время. Из формулы  S = v · t получим: v = S / t. Определим скорость переведем единицы в км/ч​ас:

v = 1000 метр/1 минут = 1 км / 1 минут = 1 · 60  км / (1 · 60 минут) = 60 км/час.

 

4,7(19 оценок)
Новые ответы от MOGZ: Математика
logo
Вход Регистрация
Что ты хочешь узнать?
Спроси Mozg
Открыть лучший ответ