М
Молодежь
К
Компьютеры-и-электроника
Д
Дом-и-сад
С
Стиль-и-уход-за-собой
П
Праздники-и-традиции
Т
Транспорт
П
Путешествия
С
Семейная-жизнь
Ф
Философия-и-религия
Б
Без категории
М
Мир-работы
Х
Хобби-и-рукоделие
И
Искусство-и-развлечения
В
Взаимоотношения
З
Здоровье
К
Кулинария-и-гостеприимство
Ф
Финансы-и-бизнес
П
Питомцы-и-животные
О
Образование
О
Образование-и-коммуникации
nzotov299
nzotov299
21.04.2023 06:12 •  Математика

Решите уравнение 19,6/1 целая 1/4=u/0,25

👇
Ответ:
LFZ1
LFZ1
21.04.2023
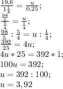
\frac{19,6}{1 \frac{1}{4} } = \frac{u}{0,25}; \\
 \frac{ \frac{98}{5} }{ \frac{5}{4} }= \frac{u}{ \frac{1}{4} }; \\
 \frac{98}{5}: \frac{5}{4}=u: \frac{1}{4}; \\
 \frac{392}{25}=4u; \\
4u*25=392*1; \\
100u=392; \\
u=392:100; \\
u=3,92
Или
\frac{19,6}{1 \frac{1}{4} } = \frac{u}{0,25}; \\ 19,6*0,25=1 \frac{1}{4}u; \\ 4,9=1,25u; \\ u=4,9:1,25; \\ u=3,92
4,7(7 оценок)
Открыть все ответы
Ответ:
Йошкар-Ола! Красивый у нас город, живописный. Много в нем улиц, переулков, парков. Все они имеют свои названия. Откуда же берутся эти названия?В честь земляков, повторивших подвиг Александра Матросова, названы улицы Кутрухина, Соловьева, Прохорова.Гвардии рядовой Василий Иванович Соловьев совершил свой бессмертный подвиг в районе деревни Жуково Смоленской области 28 августа 1943 года;Гвардии сержант Константин Прохорович Кутрухин – в районе деревень Худаково и Татаршино Витебской области 27 июня 1944 года;Гвардии лейтенант Зинон Филиппович Прохоров – при освобождении венгерского села Ходоша  в горакх Трансильвании 19 сентября 1944 года.Им посмертно присвоено звание Героя Советского Союза.Есть улица Архипова.«Гвардеец - пулеметчик младший сержант Василий Степанович Архипов с товарищами занял одно село. Батальон противника неоднократно переходил в контратаку. Архипов хорошо замаскировал свой пулемет, короткими очередями бил по цепям вражеских солдат. После боя перед пулеметом младшего сержанта было обнаружено 70 трупов», - так писала  «Правда» о нашем земляке 13 апреля 1942 года, опубликовав Указ Президиума Верховного Совета СССР о присвоении звания Героя Советского Союза.Свой подвиг Архипов совершил в 21 год.
4,6(89 оценок)
Ответ:
LoveSmile7890
LoveSmile7890
21.04.2023
Йошкар-Ола! Красивый у нас город, живописный. Много в нем улиц, переулков, парков. Все они имеют свои названия. Откуда же берутся эти названия?В честь земляков, повторивших подвиг Александра Матросова, названы улицы Кутрухина, Соловьева, Прохорова.Гвардии рядовой Василий Иванович Соловьев совершил свой бессмертный подвиг в районе деревни Жуково Смоленской области 28 августа 1943 года;Гвардии сержант Константин Прохорович Кутрухин – в районе деревень Худаково и Татаршино Витебской области 27 июня 1944 года;Гвардии лейтенант Зинон Филиппович Прохоров – при освобождении венгерского села Ходоша  в горакх Трансильвании 19 сентября 1944 года.Им посмертно присвоено звание Героя Советского Союза.Есть улица Архипова.«Гвардеец - пулеметчик младший сержант Василий Степанович Архипов с товарищами занял одно село. Батальон противника неоднократно переходил в контратаку. Архипов хорошо замаскировал свой пулемет, короткими очередями бил по цепям вражеских солдат. После боя перед пулеметом младшего сержанта было обнаружено 70 трупов», - так писала  «Правда» о нашем земляке 13 апреля 1942 года, опубликовав Указ Президиума Верховного Совета СССР о присвоении звания Героя Советского Союза.Свой подвиг Архипов совершил в 21 год.
4,4(62 оценок)
Это интересно:
Новые ответы от MOGZ: Математика
logo
Вход Регистрация
Что ты хочешь узнать?
Спроси Mozg
Открыть лучший ответ