М
Молодежь
К
Компьютеры-и-электроника
Д
Дом-и-сад
С
Стиль-и-уход-за-собой
П
Праздники-и-традиции
Т
Транспорт
П
Путешествия
С
Семейная-жизнь
Ф
Философия-и-религия
Б
Без категории
М
Мир-работы
Х
Хобби-и-рукоделие
И
Искусство-и-развлечения
В
Взаимоотношения
З
Здоровье
К
Кулинария-и-гостеприимство
Ф
Финансы-и-бизнес
П
Питомцы-и-животные
О
Образование
О
Образование-и-коммуникации
Bogdan8950
Bogdan8950
31.10.2021 15:38 •  Математика

как можно разложить корень 56 ? я думаю на 7 корень 4, правильно?

👇
Ответ:
seSSS
seSSS
31.10.2021
Неправильно

Надо разложить на множители и из них вычислять корень
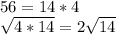
56 = 14*4\\ \sqrt{4*14} = 2\sqrt{14}
4,7(41 оценок)
Открыть все ответы
Ответ:
Stukaneva
Stukaneva
31.10.2021

1)С крестовидным отверстием, с шлицевым(плоским) отверстием (самые основные).

2)Потому что это повредит и поверхность и сам шуруп, и в конечном итоге испортишь изделие, ну, еще и потому что нельзя завернуть гвоздь...

3)Изи катка, ибо можешь порезать пальцы, прищемить шляпкой шурупа, может соскользнуть отвертка, или что еще хуже, шуруповерт или дрель, ну и тогда пиши пропала...

4)Для упрощения последующей работы, также чтобы исключить риск ранения острой деталью.

5)Потому что так шуруп проходит через все слои волокна, а если заворачивать вдоль, то он пойдет мимокрокодилами, и не будет закреплён как следует.

4,4(69 оценок)
Ответ:
nadya5745
nadya5745
31.10.2021

1)С крестовидным отверстием, с шлицевым(плоским) отверстием (самые основные).

2)Потому что это повредит и поверхность и сам шуруп, и в конечном итоге испортишь изделие, ну, еще и потому что нельзя завернуть гвоздь...

3)Изи катка, ибо можешь порезать пальцы, прищемить шляпкой шурупа, может соскользнуть отвертка, или что еще хуже, шуруповерт или дрель, ну и тогда пиши пропала...

4)Для упрощения последующей работы, также чтобы исключить риск ранения острой деталью.

5)Потому что так шуруп проходит через все слои волокна, а если заворачивать вдоль, то он пойдет мимокрокодилами, и не будет закреплён как следует.

4,4(44 оценок)
Это интересно:
Новые ответы от MOGZ: Математика
logo
Вход Регистрация
Что ты хочешь узнать?
Спроси Mozg
Открыть лучший ответ