М
Молодежь
К
Компьютеры-и-электроника
Д
Дом-и-сад
С
Стиль-и-уход-за-собой
П
Праздники-и-традиции
Т
Транспорт
П
Путешествия
С
Семейная-жизнь
Ф
Философия-и-религия
Б
Без категории
М
Мир-работы
Х
Хобби-и-рукоделие
И
Искусство-и-развлечения
В
Взаимоотношения
З
Здоровье
К
Кулинария-и-гостеприимство
Ф
Финансы-и-бизнес
П
Питомцы-и-животные
О
Образование
О
Образование-и-коммуникации
vanschool
vanschool
28.02.2020 13:50 •  Математика

Y=4x^2-x , y=4-x вычислите площадь фигуры, ограниченной линиями

👇
Ответ:
тигрица086
тигрица086
28.02.2020
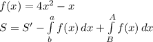
f(x)=4x^{2}-x \\
S=S'- \int\limits^{a}_ {b} {f(x)}\, dx + \int\limits^{A}_{B} {f(x)} \, dx
S' - это площадь трапеции.
Найдем a, b и A, B(абсциссы):
4 x^{2} -x=4-x
\\x_{1}=1, x_{2}=-1
a=-1, b=1
A=0, B=0.25;
S'=(3+5)*2/2=8;
S=8- \int\limits^{1}_{-1} {f(x)} \, dx+ \int\limits^{0}_{0.25} {f(x)} \, dx=8- \frac{8}{3} - \frac{1}{96}= \frac{768-256-1}{96}= \frac{511}{96}

Y=4x^2-x , y=4-x вычислите площадь фигуры, ограниченной линиями
4,6(71 оценок)
Открыть все ответы
Ответ:
kolesnikov20021
kolesnikov20021
28.02.2020

  Задание: Какого человека можно назвать смелым? Приведи пример смелого поступка.

  Смелый - это человек, который в условиях опасности умеет собраться и преодолеть собственные страхи. Я знаю достаточно много смелых людей. Например, мой дядя. Как-то раз уже глубокой ночью он услышал крики о на улице. Никто из соседей не реагировал, но дядя решил выйти, чтобы узнать, в чем дело. Оказалось, что мужчина хотел ограбить девушку. Мой дядя прогнал грабителя, тем самым предотвратив тяжкое преступление. Он поступил храбро, ведь в этой ситуации дядя мог тоже пострадать, если бы преступник был вооружен. Смелость - удивительное качество, которое совершать подвиги.

4,7(62 оценок)
Ответ:
mrloller
mrloller
28.02.2020

  Задание: Какого человека можно назвать смелым? Приведи пример смелого поступка.

  Смелый - это человек, который в условиях опасности умеет собраться и преодолеть собственные страхи. Я знаю достаточно много смелых людей. Например, мой дядя. Как-то раз уже глубокой ночью он услышал крики о на улице. Никто из соседей не реагировал, но дядя решил выйти, чтобы узнать, в чем дело. Оказалось, что мужчина хотел ограбить девушку. Мой дядя прогнал грабителя, тем самым предотвратив тяжкое преступление. Он поступил храбро, ведь в этой ситуации дядя мог тоже пострадать, если бы преступник был вооружен. Смелость - удивительное качество, которое совершать подвиги.

4,7(96 оценок)
Это интересно:
Новые ответы от MOGZ: Математика
logo
Вход Регистрация
Что ты хочешь узнать?
Спроси Mozg
Открыть лучший ответ