М
Молодежь
К
Компьютеры-и-электроника
Д
Дом-и-сад
С
Стиль-и-уход-за-собой
П
Праздники-и-традиции
Т
Транспорт
П
Путешествия
С
Семейная-жизнь
Ф
Философия-и-религия
Б
Без категории
М
Мир-работы
Х
Хобби-и-рукоделие
И
Искусство-и-развлечения
В
Взаимоотношения
З
Здоровье
К
Кулинария-и-гостеприимство
Ф
Финансы-и-бизнес
П
Питомцы-и-животные
О
Образование
О
Образование-и-коммуникации
MoDnIk237
MoDnIk237
25.12.2021 20:17 •  Математика

X-4/2-1-3x/5=-3 решите уравнение с дробями. / - это дробная черта _

👇
Ответ:
anyiugyo9e7
anyiugyo9e7
25.12.2021
X-4/2-1-3x/5=-3
\frac{x-4}{2} -1- \frac{3x}{5} =-3
\frac{x-4}{2} -1- \frac{3x}{5} =-3 \\ \frac{x-4}{2}- \frac{3x}{5} =-2

Домножить на 10 все, чтобы избавиться от знаменателя

5*(x-4)- 6x =-20
5x - 20 - 6x = -20
-x = 0
x = 0

Или другой вариант

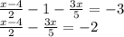
\frac{x-4}{2} -\frac{1-3x}{5} =-3 \\ 5*(x-4) - 2*(1-3x)= -30 \\ 5x - 20 -2 +6x = -30 \\ 11x - 22 = -30 \\ 11x = -8 \\ x = - \frac{8}{11}
4,4(100 оценок)
Открыть все ответы
Ответ:
dflbvdflbv
dflbvdflbv
25.12.2021

Пошаговое объяснение:

а - b = с

а - уменьшаемое

b- вычитаемое

с -разность

Если к уменьшаемому прибавить 23,то разность увеличится на 23

(а+23) - b =с  →  а - b =с+23

Если вычитаемое уменьшить на (- 8), то разность уменьшится на 8

а - (b - (- 8)) = с →  а - b +8 = с   →   а - b = с - 8

Если от уменьшаемого отнять (- 3) ,а к вычитаемому добавить (- 20), то разность  уменьшится на 23

(а - (- 3)) - (b + (- 20)) = с    →    а + 3 - b + 20 = с  →   а - b = с - 23

Если к уменьшаемому прибавить (- 6), а к вычитаемому прибавить (- 14), то разность уменьшится на 8

а - 6 - (в - 14)  = с   →   а - в = с - 8

4,8(91 оценок)
Ответ:
rjdfy
rjdfy
25.12.2021

Відповідь:

м1) Соберите прибор, как показано на рисунке 38, и проверьте его на герметичность. 2) Положите в пробирку 8-10 кусочков цинка и прилейте 5-6 мл раствора соляной кислоты. 3) Закройте пробирку пробкой с газоотводной трубкой и проверьте выделяющийся водород на чистоту. Конец газоотводной трубки поместите в пробирку с оксидом меди (II), как показано на рисунке. Пробирка с оксидом меди (II) должна быть закреплена в штативе немного наклонно, чтобы её отверстие находилось ниже дна. 4) Пробирку нагрейте в том месте, где находится оксид меди (II). Как только заметите появление порошка красного цвета, нагревание прекратите. Из чёрного порошка оксида меди (II) образовалось вещество красного цвета, а на стенках пробирки образовались капельки волы. Почему перед нагреванием оксида меди (II) в атмосфере водорода последний нужно проверить на чистоту? Почему пробирку с оксидом меди (II) закрепляют в штативе с наклоном в сторону отверстия? Почему нагревание требуется только до того момента, как оксид меди (II) начинает раскаляться? Объясните, почему из чёрного порошка образовалось вещество красного цвета. Напишите уравнение реакции оксида меди (II) с водородом. К какому типу относится эта реакция? Какие свойства водорода подтвердил этот опы

Покрокове пояснення:

4,5(75 оценок)
Это интересно:
Новые ответы от MOGZ: Математика
logo
Вход Регистрация
Что ты хочешь узнать?
Спроси Mozg
Открыть лучший ответ