М
Молодежь
К
Компьютеры-и-электроника
Д
Дом-и-сад
С
Стиль-и-уход-за-собой
П
Праздники-и-традиции
Т
Транспорт
П
Путешествия
С
Семейная-жизнь
Ф
Философия-и-религия
Б
Без категории
М
Мир-работы
Х
Хобби-и-рукоделие
И
Искусство-и-развлечения
В
Взаимоотношения
З
Здоровье
К
Кулинария-и-гостеприимство
Ф
Финансы-и-бизнес
П
Питомцы-и-животные
О
Образование
О
Образование-и-коммуникации
Khidjana95
Khidjana95
30.11.2021 16:25 •  Математика

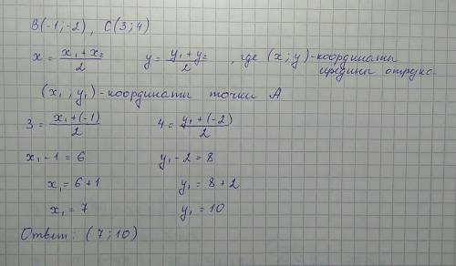
Найдите координаты точки а, если точка с - середина отрезка ав и в(-1; -2), с(3; 4).

👇
Ответ:
Fleepee
Fleepee
30.11.2021
ответ: (7; 10)
Решение прилагаю
Найдите координаты точки а, если точка с - середина отрезка ав и в(-1; -2), с(3; 4).
4,7(31 оценок)
Открыть все ответы
Ответ:
omarckina2010
omarckina2010
30.11.2021
(3D) форму изображенного на нем предмета.

Чертеж следует читать в определенной последовательности:

1. Познакомьтесь с содержанием основной надписи чертежа. Из нее вы узнаете название детали, материал, из которого она изготовлена, масштаб изображения.
2. Определите, какими изображениями представлен чертеж детали.
3. Рассмотрите изображения чертежа и попытайтесь представить форму изделия. Если это не получится сразу, то мысленно расчлените изображение на составляющие его части и представьте геометрическую форму каждой из них.
4. Представьте величину предмета, изучив габаритные размеры изделия.

4,8(34 оценок)
Ответ:
ник4430
ник4430
30.11.2021

1) 24 : 3 = 8 (км/ч) - скорость лыжника.

   ответ: 8 км/ч.

2) 80 · 4 = 320 (км) проехал мотоциклист.

   ответ: 320 км.

3) 28 : 7 = 4 (ч) - была в пути лодка.

   ответ: 4 ч.

4) 12 : 4 = 3 (м/с) - скорость мышки.

    ответ: 3 м/с.

5) 15 : 5 = 3 (ч) - пройдет пешеход.

    ответ: за 3 ч.

6) 33 : 3 = 11 (км/ч) - скорость велосипедиста.

    ответ: 11 км/ч.

Формула s = v · t (s - путь, v - скорость, t - время) подходит для задачи 2.

Формула t = s / v (s - путь, v - скорость, t - время) подходит для задач 3 и 5.

Формула v = s / t (s - путь, v - скорость, t - время) подходит для задач 1, 4 и 6.

4,7(73 оценок)
Это интересно:
Новые ответы от MOGZ: Математика
logo
Вход Регистрация
Что ты хочешь узнать?
Спроси Mozg
Открыть лучший ответ