М
Молодежь
К
Компьютеры-и-электроника
Д
Дом-и-сад
С
Стиль-и-уход-за-собой
П
Праздники-и-традиции
Т
Транспорт
П
Путешествия
С
Семейная-жизнь
Ф
Философия-и-религия
Б
Без категории
М
Мир-работы
Х
Хобби-и-рукоделие
И
Искусство-и-развлечения
В
Взаимоотношения
З
Здоровье
К
Кулинария-и-гостеприимство
Ф
Финансы-и-бизнес
П
Питомцы-и-животные
О
Образование
О
Образование-и-коммуникации
anasgaliev
anasgaliev
27.05.2021 05:29 •  Математика

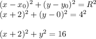
Скласти рівняня кола радіуса 4 зцентром у точці 13 (-2: 0)

👇
Ответ:
tetyanavasil
tetyanavasil
27.05.2021
B (-2; 0)    x₀ = -2; y₀ =0;   R=4
Уравнение окружности 
(x-x_0)^2 + (y-y_0)^2 = R^2 \\ (x + 2)^2 + (y-0)^2 = 4^2 \\ \\ (x+2)^2 + y^2 = 16
4,7(42 оценок)
Открыть все ответы
Ответ:
dasha18s10
dasha18s10
27.05.2021

Ну и, что тут сложного? Для решения этой задачи понадобится формула производительности труда : A=pt, где A-работа, p-производительность труда(скорость потока воды) , t-время; t=A/p.

Нам известно, что t₁=6ч; t₂=8;t₃=4

Pсовмест=P₁+P₂-P₃-совместный поток воды из труб(две наполняют и третья сливает)

ПО условию: P₁ = A/t₁ = 1/6 (1/ч) - производительность первой трубы.

Аналогично

2) р₂ = 1/8 и р₃ = 1/4.

Пишем основное уравнение задачи.при t = 1 час.

3)  А*(1/6 + 1/8 - 1/4) = (НОК=24) = А*(4+3-6)/24 = А*1/24

Время наполнения бассейна полностью.

T = A : 1/24 = 24 ч - наполнится бассейн.

ОТВЕТ За 1 час наполнится 1/24 часть бассейна.

Время наполнения бассейна полностью.

T = A : 1/24 = 24 ч - наполнится бассейн.

4,4(45 оценок)
Ответ:
Иисус1234
Иисус1234
27.05.2021

Рецепты на день рождения

Чем удивить гостей, пришедших на день рождения? Такой вопрос неизменно встаёт раз в году перед любым человеком. Любая хозяйка захочет попотчевать друзей и родных чем-нибудь вкусненьким. Но не стоит превращать этот радостный день в «посиделки вокруг стола». Возможно, стоит продумать меню фуршета с разными лёгкими закусками, бутербродами, небольшими булочками-круасанчиками, или устроить дегустацию шоколадного фондю. Если вы всё же сторонник большого именинного пирога и плотного ужина, вам на могут прийти наши идеи, рекомендации и праздничные рецепты. Составить меню на день рождения из вкусных и несложных в приготовлении блюд надо заранее. Хозяйка должна выглядеть на празднике лучше всех, чтобы угощать гостей своими шедеврами не с уставшим видом, а так, как будто всё приготовилось само собой.


Читать дальше

Бутерброды на день рождения

Горячие блюда на день рождения

Десерты

Детский день рождения

Закуски на день рождения

Пирожные

Пирожные на день рождения

Праздничный обед

Праздничный стол

Салаты на день рождения

Торт на день рождения


Самая ленивая пицца на батоне


Классический салат «Цезарь» на скорую руку


Слоеный салат «Восторг» с грибами и курицей


Мясо «Гармошка» с помидорами в духовке


Картошка с курицей в сметане в духовке


Салат «София» с ветчиной и копченым сыром


Простые канапе с огурцом и лососем


Ветчинные рулетики с чесноком, сыром и яйцами


Салат с курицей, фасолью, кукурузой и овощами


Куриные ножки в горчично-медовом маринаде в духовке


Рулетики «Кордон Блю» со сливочным соусом


Слоеный салат с жареными грибами, курицей и сыром


Греческие шпажки с сыром фета


Классическая сельдь под шубой по-домашнему


Быстрые горячие бутерброды с сосисками


Курино-грибной жульен в тарталетках


Простой салатик с омлетом


Куриные рулетики со сливочным сыром в беконе

4,5(45 оценок)
Это интересно:
Новые ответы от MOGZ: Математика
logo
Вход Регистрация
Что ты хочешь узнать?
Спроси Mozg
Открыть лучший ответ