М
Молодежь
К
Компьютеры-и-электроника
Д
Дом-и-сад
С
Стиль-и-уход-за-собой
П
Праздники-и-традиции
Т
Транспорт
П
Путешествия
С
Семейная-жизнь
Ф
Философия-и-религия
Б
Без категории
М
Мир-работы
Х
Хобби-и-рукоделие
И
Искусство-и-развлечения
В
Взаимоотношения
З
Здоровье
К
Кулинария-и-гостеприимство
Ф
Финансы-и-бизнес
П
Питомцы-и-животные
О
Образование
О
Образование-и-коммуникации
3344227p06s57
3344227p06s57
16.01.2023 20:08 •  Математика

Допустим p и q комплексные числа, где . доказать, что если квадратное уравнение модули решения равны, то это действительное число.

👇
Ответ:
polinamypp
polinamypp
16.01.2023
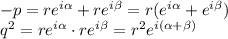
Пусть x1 = r exp(iα) и x2 = r exp(iβ) — корни уравнения.

По теореме Виета
-p=re^{i\alpha}+re^{i\beta}=r(e^{i\alpha}+e^{i\beta})\\
q^2=re^{i\alpha}\cdot re^{i\beta}=r^2e^{i(\alpha+\beta)}

p=-r(e^{i\alpha}+e^{i\beta})\\
q=\mp re^{i(\alpha+\beta)/2}

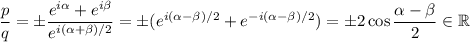
Делим p на q:
\dfrac pq=\pm\dfrac{e^{i\alpha}+e^{i\beta}}{e^{i(\alpha+\beta)/2}}=\pm(e^{i(\alpha-\beta)/2}+e^{-i(\alpha-\beta)/2})=\pm2\cos\dfrac{\alpha-\beta}2\in\mathbb R
4,7(8 оценок)
Открыть все ответы
Ответ:
daryabatova
daryabatova
16.01.2023
1)               2)                    3)                4)
х+8=-7         -7+х=9           х-(-8)=13       -15-х=7
х=-15            х=16              х+8=13            х=-15-7
ответ:-15    ответ:16       х=5                  х=-22
                                           ответ:5           ответ:-22

5)                     6)                      7)                  8)
79+х=-356         х-57=-493        167-х=39       -542+х=542
х=-356-79          х=-493+57        х=167-39       х=542+542
х=-435               х=-436              х=128             х=1084
ответ:-435        ответ:-436      ответ:128     ответ:1084
4,8(84 оценок)
Ответ:
DSK111
DSK111
16.01.2023
В обществе культурный человек будет вести себя сдержанно и не лезть за словом в карман. Он будет вежлив и учтив, ни в коем случаи не позволит нагрубить людям, если они ничего ему не сделали. На культурный человек никогда не отказывает, хотя, может отказать если поймет что не может этого сделать. Обращается за культурный человек вежливо, не говоря такие слова как :"-Ты должен мне!", скорее всего он скажет так : "-Ты не слишком занят?Мог бы ты мне ". К учению относится хорошо, поскольку знает что учение - это свет и без него нельзя ничего достичь, и понять, ведь самого его обучили манерам, а не он родился таким. Соблюдает ли здоровый образ жизни?Тут, уже зависит от человека. Скорее всего культурный человек будет пытаться выглядит аккуратно, но, точно ничего утверждать нельзя поскольку все люди разные и грести образованных (культурных) людей под одну гребенку глупо.
4,4(13 оценок)
Новые ответы от MOGZ: Математика
logo
Вход Регистрация
Что ты хочешь узнать?
Спроси Mozg
Открыть лучший ответ