М
Молодежь
К
Компьютеры-и-электроника
Д
Дом-и-сад
С
Стиль-и-уход-за-собой
П
Праздники-и-традиции
Т
Транспорт
П
Путешествия
С
Семейная-жизнь
Ф
Философия-и-религия
Б
Без категории
М
Мир-работы
Х
Хобби-и-рукоделие
И
Искусство-и-развлечения
В
Взаимоотношения
З
Здоровье
К
Кулинария-и-гостеприимство
Ф
Финансы-и-бизнес
П
Питомцы-и-животные
О
Образование
О
Образование-и-коммуникации
daffidovа
daffidovа
31.07.2021 05:47 •  Математика

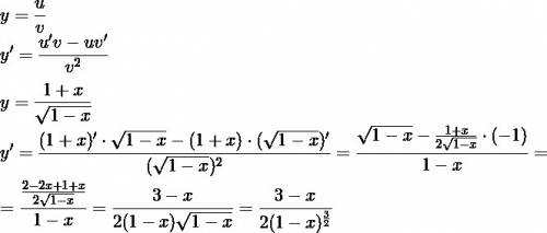
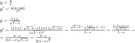
Найдите производную функции у= 1+х/кв.корень(1-х)

👇
Ответ:
gameralphac
gameralphac
31.07.2021
y=\frac{u}{v}\\y'=\frac{u'v-uv'}{v^2}\\\\y=\frac{1+x}{\sqrt{1-x}}\\y'=\frac{(1+x)'\cdot\sqrt{1-x}-(1+x)\cdot(\sqrt{1-x})'}{(\sqrt{1-x})^2}=\frac{\sqrt{1-x}-\frac{1+x}{2\sqrt{1-x}}\cdot(-1)}{1-x}=\frac{\frac{2-2x+1+x}{2\sqrt{1-x}}}{1-x}=\\=\frac{3-x}{2(1-x)\sqrt{1-x}}=\frac{3-x}{2(1-x)^{\frac32}}
Найдите производную функции у= 1+х/кв.корень(1-х)
4,8(88 оценок)
Открыть все ответы
Ответ:
archik4
archik4
31.07.2021
Полное условие.

На клетчатом поле со стороной клетки 1 см изображена фигура. Изобрази на рисунке прямоугольник площадью 21 см кв. так, чтобы вся данная фигура была его частью.

Площадь прямоугольника

S=a•b; Ширина a=S:b; длина b=S:a

Считаем самую длинную и самую широкую части клетки;

Есть 3см Ширина; 4см длина;

Ищем новую длину;

b=S:a= 21см^2:3= 7см надо длина

7-4=3см надо длиннее;

Смотрим чтобы вся фигура попала в новый прямоугольник, рисуем)

7см длину и 3см осталась ширина;

S=a•b=3•7=21см кв

В приложении 2фото рисунок и задача

Знания на клеточном поле со стороной клетки 1 сантиметр изображена фигура изобрази на рисунке прямоу
Знания на клеточном поле со стороной клетки 1 сантиметр изображена фигура изобрази на рисунке прямоу
4,8(72 оценок)
Ответ:
elizka070408
elizka070408
31.07.2021
Чтобы сравнить два числа нужно определить в каком из них:
1. Больше знаков. Если взять однозначное число и двузначное , то , очевидно , что больше будет двузначное. Например:
Нам надо сравнить числа 1 и 10
Воспользуемся этим правилом
Число 10 больше.
2. Надо посмотреть каждый разряд чисел и посмотреть в каком числа больше. Например:
Нам надо сравнить числа 245 и 568 . Посмотрим на разряды
Единицы (5 и 8) больше у числа 568
Десятки (4 и 6) тоже больше у числа 568
И наконец сотни (2 и 5) больше у числа 568
4,7(25 оценок)
Новые ответы от MOGZ: Математика
logo
Вход Регистрация
Что ты хочешь узнать?
Спроси Mozg
Открыть лучший ответ