М
Молодежь
К
Компьютеры-и-электроника
Д
Дом-и-сад
С
Стиль-и-уход-за-собой
П
Праздники-и-традиции
Т
Транспорт
П
Путешествия
С
Семейная-жизнь
Ф
Философия-и-религия
Б
Без категории
М
Мир-работы
Х
Хобби-и-рукоделие
И
Искусство-и-развлечения
В
Взаимоотношения
З
Здоровье
К
Кулинария-и-гостеприимство
Ф
Финансы-и-бизнес
П
Питомцы-и-животные
О
Образование
О
Образование-и-коммуникации
siemens227
siemens227
23.02.2020 13:58 •  Математика

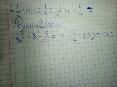
Найдите значение выражения (дроби) 2 1/6 m - 2 1/2 при m=6

👇
Ответ:
petrovakat2003
petrovakat2003
23.02.2020
Написала, ответ в закреплении
Найдите значение выражения (дроби) 2 1/6 m - 2 1/2 при m=6
4,6(93 оценок)
Открыть все ответы
Ответ:
Tanya22rus
Tanya22rus
23.02.2020
Раскроем скобки и

4*sinx*cosx-2*(sin^2)x-2*(cos^2)x+sinx*cosx=sin2x

словами тож напишу чтоб уж наверняка

(четыре синус икс на косинус икс) минус (два синус в квадрате икс) минус ( два косинус в квадрате икс) плюс синус икс на косинус икс) равно синусу двойного угла

синус двойного угла равен 2*sinx*cosx

перенесем все в левую сторону

4sinxcosx+sinxcosx-2sinxcosx-2(sin^2x+cos^2x)=0

мы знаем что синус в квадрате плюс косинус в квадрате равно единице

значит

3sinxcosx-2*1=0
3sinxcosx=2
sinxcosx=2/3

дальше хоть убейте не умею решать. просто не умею)
4,4(67 оценок)
Ответ:
1234555676
1234555676
23.02.2020
Справочник - Природоведение
Когда солнце нагревает поверхность рек, озёр и морей, часть воды испаряется и поднимается вверх. Сначала эти капельки такие маленькие, что их нельзя разглядеть. Потом они собираются в облака и становятся видимыми.
Если облака опускаются низко над землёй, они становятся туманом.
Чаще всего туманы бывают там, где много влаги — над рекой или в низинах. Обычно туманы появляются утром или вечером, когда земля остывает. Но стоит пригреть солнышку — утренний туман рассеивается. Это не значит, что он исчезает: просто он снова превращается в пар и поднимается вверх. А что происходит с вечерним туманом? Капельки воды, из которых состоит туман, опускаются на землю, прикасаются к предметам, листьям, траве и превращаются в росу. Конечно, ты видел её не раз после ясных холодных ночей. Роса, как тысячи рассыпавшихся бриллиантов, сверкает на солнце радужными искорками.
А если холодно и температура воздуха ниже нуля, капельки влаги ложатся на землю маленькими кристалликами льда — инеем. Так путешествует лишь часть капелек. А что происходит с другими?
4,8(46 оценок)
Новые ответы от MOGZ: Математика
logo
Вход Регистрация
Что ты хочешь узнать?
Спроси Mozg
Открыть лучший ответ