М
Молодежь
К
Компьютеры-и-электроника
Д
Дом-и-сад
С
Стиль-и-уход-за-собой
П
Праздники-и-традиции
Т
Транспорт
П
Путешествия
С
Семейная-жизнь
Ф
Философия-и-религия
Б
Без категории
М
Мир-работы
Х
Хобби-и-рукоделие
И
Искусство-и-развлечения
В
Взаимоотношения
З
Здоровье
К
Кулинария-и-гостеприимство
Ф
Финансы-и-бизнес
П
Питомцы-и-животные
О
Образование
О
Образование-и-коммуникации
Amirkazakov
Amirkazakov
05.04.2022 00:50 •  Математика

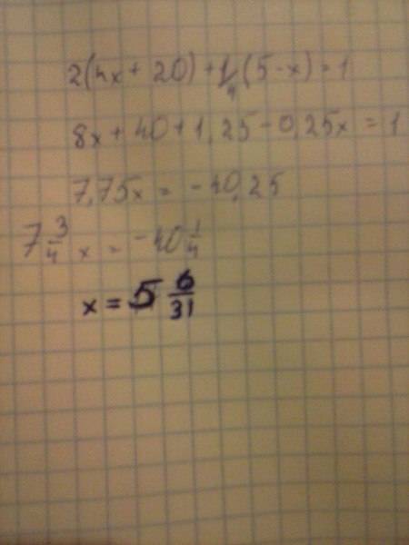
Решить уравнение 2(4x+20)+1/4(5-x)=1

👇
Ответ:
pedroluisfigoowupwm
pedroluisfigoowupwm
05.04.2022
Надеюсь, что видно все хорошо
Решить уравнение 2(4x+20)+1/4(5-x)=1
4,6(77 оценок)
Открыть все ответы
Ответ:
ArthurMyChemov
ArthurMyChemov
05.04.2022
Солнце источник света на Земле, Оно имеет несколько видов излучения, инфракрасные лучи или тепловые, видимый спектр или белый свет, и ультрафиолетовой излучение самое губительное для планеты
Солнце освещая нашу Землю несет людям не только пользу  в виде тепла и света, но и вред в виде губительных ультрафиолетовых лучей
.  Утром и вечером пребывание на Солнце полезно для организма, т.к. солнечные лучи скользят по поверхности Земли и не обжигают кожу людей, и в коже под действием малого количества ультрафиолета синтезируется витамин D,  сто лучшей работе опорно-двигательного аппарата, т.к. витамин D является антирахитичным витамином. Длительное пребывание на Солнце может вызывать тепловой удар, солнечные ожоги, а это очень болезненное состояние. при сильных солнечных ожогах необходимо обратиться к врачу
4,8(73 оценок)
Ответ:
оарташ
оарташ
05.04.2022
Солнце источник света на Земле, Оно имеет несколько видов излучения, инфракрасные лучи или тепловые, видимый спектр или белый свет, и ультрафиолетовой излучение самое губительное для планеты
Солнце освещая нашу Землю несет людям не только пользу  в виде тепла и света, но и вред в виде губительных ультрафиолетовых лучей
.  Утром и вечером пребывание на Солнце полезно для организма, т.к. солнечные лучи скользят по поверхности Земли и не обжигают кожу людей, и в коже под действием малого количества ультрафиолета синтезируется витамин D,  сто лучшей работе опорно-двигательного аппарата, т.к. витамин D является антирахитичным витамином. Длительное пребывание на Солнце может вызывать тепловой удар, солнечные ожоги, а это очень болезненное состояние. при сильных солнечных ожогах необходимо обратиться к врачу
4,6(4 оценок)
Это интересно:
Новые ответы от MOGZ: Математика
logo
Вход Регистрация
Что ты хочешь узнать?
Спроси Mozg
Открыть лучший ответ