М
Молодежь
К
Компьютеры-и-электроника
Д
Дом-и-сад
С
Стиль-и-уход-за-собой
П
Праздники-и-традиции
Т
Транспорт
П
Путешествия
С
Семейная-жизнь
Ф
Философия-и-религия
Б
Без категории
М
Мир-работы
Х
Хобби-и-рукоделие
И
Искусство-и-развлечения
В
Взаимоотношения
З
Здоровье
К
Кулинария-и-гостеприимство
Ф
Финансы-и-бизнес
П
Питомцы-и-животные
О
Образование
О
Образование-и-коммуникации
1234567311
1234567311
23.09.2021 08:08 •  Математика

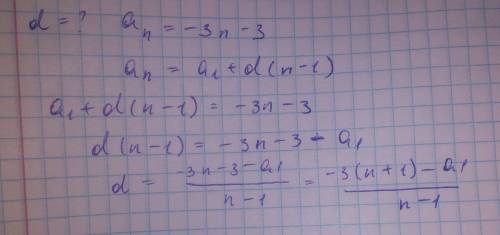
Найдите разность арифметической прогрессии, заданной формулой an=-3n-3

👇
Ответ:
siraevadiana
siraevadiana
23.09.2021
Решение в приложении..
Найдите разность арифметической прогрессии, заданной формулой an=-3n-3
4,6(93 оценок)
Открыть все ответы
Ответ:
никита3274
никита3274
23.09.2021
Мой старый дед говорил мне - помни
Что были в жизни людей годы
Когда в атаку бежали такие, как я
Восемнадцать годков войны!

Их души были прочней стали
Они в боях за Россию пали
Их память вечно хранит
Обелисков гранит

Сколько лет с той весны,
Когда не стало войны
В моей огромной стране.
Сколько лет промчалось с тех пор
И только вечный костер мне говорит о войне
О войне.

Мой старый дед говорил мне - помни!
С небес на землю летели бомбы.
И разрывая сердца, звенели капли свинца.

Мой старый дед говорил мне - память!
Порою больно людей ранит.
Но помни не забывай
Тот самый радостный май

Сколько лет с той весны,
Когда не стало войны
В моей огромной стране.
Сколько лет промчалось с тех пор
И только вечный костер мне говорит о войне
О войне.

Сколько лет с той весны,
Когда не стало войны
В моей огромной стране.
Сколько лет промчалось с тех пор
И только вечный костер мне говорит о войне

Сколько лет с той весны,
Когда не стало войны
В моей огромной стране.
Сколько лет промчалось с тех пор
И только вечный костер мне говорит о войне
О войне.
4,8(86 оценок)
Ответ:
ян6
ян6
23.09.2021
Im Frühling fahren meine Eltern ins Ferienlager in die Berge. 
Der bekannte rassische Marinist Aiwasowski hat viele wunderschöne Bilder gemalt. 
Herr Müller ist durch seinen Pragmatismus unter den Kollegen bekannt. 

Выделите суффиксы существительных женского рода:
Die Kenntnis der deutschen Sprache ist für mich sehr wichtig. 
Unsere Nachbarin hat Blumen gern, in ihrem Garten hat sie viele Blumenbeete. 
Monika isst sehr gern Kuchen und trinkt Kaffee in der Konditorei am Alex. 

Выделите суффиксы среднего рода:
Sein Großvater wohnt in einem kleinen Häuschen nicht weit von zwei Kirchen. 
Fräulein Weber ist Studentin an der Technischen Hochschule in Dresden. 
Mein Zeugnis war in diesem Jahr leider nicht besonders gut. 
4,6(75 оценок)
Это интересно:
Новые ответы от MOGZ: Математика
logo
Вход Регистрация
Что ты хочешь узнать?
Спроси Mozg
Открыть лучший ответ