

1ход-1м 76см <
2ход-?,на68см б---
3ход-?,на 2м 31 см б Двух ходов
1)176+68=244(см)-2ход
2)(176+244)+231=651(см)-3 ход
3)420+651=1071(см)-Всего
Сн.-32г
Кл.-?,на 11г б
32+11=43(г)-клест
*Условие незнаю!*
24х4=96(кг)-3а 4 часа
1день-5ящ.по 34 уп.
2день-6ящ.
Всего за 2 дня-?
1)34х5=170(уп.)-3а 1-ый день всего
2)170+34=204(уп)-3а 2-ой день всего
3)170+204=374(уп.)-За 2 дня
*Условие незнаю!*
1)654-(287-215)=588(шт)-если было бы одинаковое кол-во
2)588:2=294(шт)-грибов
3)294+72=366(шт)-орехов
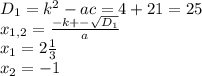
корни x1 =2,33 x2 = -1