М
Молодежь
К
Компьютеры-и-электроника
Д
Дом-и-сад
С
Стиль-и-уход-за-собой
П
Праздники-и-традиции
Т
Транспорт
П
Путешествия
С
Семейная-жизнь
Ф
Философия-и-религия
Б
Без категории
М
Мир-работы
Х
Хобби-и-рукоделие
И
Искусство-и-развлечения
В
Взаимоотношения
З
Здоровье
К
Кулинария-и-гостеприимство
Ф
Финансы-и-бизнес
П
Питомцы-и-животные
О
Образование
О
Образование-и-коммуникации
asovgira
asovgira
25.05.2021 21:37 •  Математика

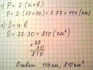
ответьте ! длины сторон прямоугольника 27см и 30см .вычисли периметр и площадь этого прямоугольника.

👇
Ответ:
mukaseevdaniil1
mukaseevdaniil1
25.05.2021
Решение во вложенном изображении
ответьте ! длины сторон прямоугольника 27см и 30см .вычисли периметр и площадь этого прямоугольника.
4,7(59 оценок)
Ответ:
okru24057p00ymy
okru24057p00ymy
25.05.2021
P=(27+30)*2=114 cm
S=27*30=810 см квадратных
4,6(18 оценок)
Открыть все ответы
Ответ:
mikerinavera
mikerinavera
25.05.2021

№ 1. 1) 8у - 3(2у - 3) = 7у - 2(5у + 8),        2) 5(2у - 9) + 6у = 4(3у - 2) - 21,

           8y - 6y + 9 = 7y - 10y - 16,                10у - 45 + 6у = 12у - 8 - 21,

           2y + 9 =-3у - 16,                               16у - 45 = 12у - 29,

           2у + 3у = -16 - 9,                              16у - 12у = -29 + 45,

           5y = -25,                                          4у = 16,

            у = -25 : 5,                                       у = 16 : 4,

             y = -5;                                              у = 4;

№ 2. 1) 5(3 - 2у) - 4(9 - у) = 3(у + 5),

           15 - 10y - 36 + 4y = 3y + 15,

           -6y - 21 = 3у + 15,

           -6у - 3у = 15 + 21,

           -9y = 36,

           у = 36 : (-9),

           y = -4;

2) 14(2х - 3) - 5(х + 4) = 2(3х + 5) + 5х,

   28x - 42 - 5x - 20 = 6x + 10 + 5x,

    23х - 62 = 11х + 10,

    23x - 11x = 10 + 62,

    12x = 72,

     х = 72 : 12,

     x = 6;

3) 9(3х - 7) + 3(8х - 11) = 3(9х + 8),

   27x - 63 + 24x - 33 = 27x + 24,

   51x - 96 = 27х + 24,

    51х - 27х = 24 + 96,

    24x = 120,

    х = 120 : 24,

    x = 5;

4) 6(7х - 11) - 13(х - 6) = 14(2х + 1),

    42x - 66 - 13x + 78 = 28x + 14,

    29x + 12 = 28х + 14,

    29x - 28 х = 14 - 12,

     х = 2;

№ 3. 1) 1,2х + 7 = 2x + 3, (здесь, видимо, пропущен х)

            1,2x - 2х = 3 - 7,

             -0,8x = -4,

             х = -4 : (-0,8),

             x = 5;

         2) 8,3 - 2,1х = 2(1,5х + 11,8),

              8,3 - 2,1х = 3х + 23,6,

              -2,1х - 3х = 23,6 - 8,3,

              -5,1х = 15,3,

              х = 15,3 : (-5,1),

              х = -3;

          3) 9(13 - 0,8х) + 6,7 = 7,1х - 5,

               117 - 7,2х + 6,7 = 7,1х - 5,

                -7,2х + 123,7 = 7,1х - 5,

                -7,2х - 7,1х = -5 - 123,7,

                -14,3х = -128,7,

                х = -128,7 : (-14,3),

                х = 9.

4,5(56 оценок)
Ответ:
aleonaandreeva0
aleonaandreeva0
25.05.2021

А.

Углы KOL и LOM - смежные, а ∠КОМ - развёрнутый угол. Поэтому ∠KOL + ∠LOM = 180°.

(х/2 + 4)° + 46° = 180°;

(х/2 + 4)° = 180° - 46°;

(х/2 + 4)° = 134°;

х/2 = 134° - 4°;

х/2 = 130°;

х = 130°*2;

х = 260°.

Тогда ∠KOL равен 260°:2 + 4° = 130° + 4° = 134°.

ответ: х = 260°; ∠KOL = 134°.

Б.

1. Тупой ∠FAK - вертикальный угол к ∠GAL, поскольку они образованы пересечением прямых FL и GK, но не являются прилежащими.

ответ: ∠FAK.

2. ∠FAB = ∠FAK - ∠BAK. Если ∠GAL = 140°, то ∠FAK = ∠GAL (как вертикальные) = 140°. ∠BAK - прямой (90°). Поэтому ∠FAB = 140° - 90° = 50°.

ответ: ∠FAB = 50°.

4,4(27 оценок)
Новые ответы от MOGZ: Математика
logo
Вход Регистрация
Что ты хочешь узнать?
Спроси Mozg
Открыть лучший ответ