М
Молодежь
К
Компьютеры-и-электроника
Д
Дом-и-сад
С
Стиль-и-уход-за-собой
П
Праздники-и-традиции
Т
Транспорт
П
Путешествия
С
Семейная-жизнь
Ф
Философия-и-религия
Б
Без категории
М
Мир-работы
Х
Хобби-и-рукоделие
И
Искусство-и-развлечения
В
Взаимоотношения
З
Здоровье
К
Кулинария-и-гостеприимство
Ф
Финансы-и-бизнес
П
Питомцы-и-животные
О
Образование
О
Образование-и-коммуникации
кошка453
кошка453
28.01.2023 21:25 •  Математика

Рабочий должен был изготовить 108 деталей, но сделал в час на 3 детали больше, чем планировал, поэтому работал на 6 часов меньше. за сколько часов рабочий должен был выполнить всё ?

👇
Ответ:
AnzhelaBagdasaryan
AnzhelaBagdasaryan
28.01.2023

Пусть х  ч - планируемое время работы,

    х - 6  ч  -  реальное время работы,

    \boldsymbol{\dfrac{108}{x}} - планируемое количество деталей в час,

    \boldsymbol{\dfrac{108}{x-6}} - реальное количество деталей в час.

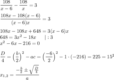
\dfrac{108}{x-6}-\dfrac{108}{x}=3\\\\\dfrac{108x-108(x-6)}{(x-6)x}=3\\\\108x-108x+648=3(x-6)x\\648=3x^2-18x~~~~~|:3\\x^2-6x-216=0\\\\\dfrac D4=\Big(\dfrac{b}2\Big)^2-ac=\Big(\dfrac{-6}2\Big)^2-1\cdot(-216)=225=15^2\\\\x_{1,2}=\dfrac{-\frac b2\pm \sqrt{\frac D4}}a

x₁ = 3 - 15 = -12   -  не подходит по условию

x₂ = 3 + 15 = 18 (ч)

ответ : 18 часов

4,8(75 оценок)
Ответ:
Lisska147
Lisska147
28.01.2023

18 часов

Пошаговое объяснение:

Пусть рабочий работал столько же времени  х часов.

Тогда он изготовил бы на 3х  деталей больше. На эти 3х деталей он потратил бы лишних 6 часов. В час он делает 108/(х-6) деталей

108*6/(х-6)=3х

108*2=х*(х-6)

х*х-6х=216

х*х-6х+9=225

х*х-6х+9=15^15

(х-3)^2=15^2  х=3+15 или х=3-15

положительный корень один х=18

4,4(92 оценок)
Открыть все ответы
Ответ:
Anya18121978
Anya18121978
28.01.2023

а)кратные 2 : 154;174;178;320;346.-Число делится на 2, если его последняя цифра - ноль или делится на 2. 

б)кратные 5:315;320;425;475-Число делится на 5, если его последняя цифра - ноль или 5.

в)кратные 10:320.-Число делится на 10, если его последняя цифра - ноль.

г)нечётные: 161  191 315 -  Числа, не делящиеся на два –есть нечётными.



а)все чётные числа больше 10 и меньше 21-это(12 14 16 18 20)

б)все нечётные числа больше 12  но меньше 23- это(13 15 17 19 21).


(4,9-х):1,2=3

4,9-х=3*1,2

4,9-х=3,6

х=4,9-3,6

х=1,3

4,5(3 оценок)
Ответ:

Пошаговое объяснение:

Определение : " Цифра называется верной, если граница абсолютной погрешности данного приближенного значения числа не больше единицы того разряда, в котором записана эта цифра. В противном случае цифра называется сомнительной."

х= 398,65 ± 0,03

0,03- граница абсолютной погрешности

Единица последнего разряда - 0,01 (   сотые)

0,03 > 0,01

значит цифра 5 - сомнительная

Далее :

0,03 < 0, 1 -значит цифра 6 - верная

Если в записи приближенного значения числа какая-то цифра – верная, то и все предшествующие ей цифры так же являются верными.

Значит 8; 9; 3 - также верные цифры

В записи приближенного  значения числа сохраняют только верные цифры , а сомнительные цифры округляют , значит

х= 398,7

4,5(93 оценок)
Новые ответы от MOGZ: Математика
logo
Вход Регистрация
Что ты хочешь узнать?
Спроси Mozg
Открыть лучший ответ