М
Молодежь
К
Компьютеры-и-электроника
Д
Дом-и-сад
С
Стиль-и-уход-за-собой
П
Праздники-и-традиции
Т
Транспорт
П
Путешествия
С
Семейная-жизнь
Ф
Философия-и-религия
Б
Без категории
М
Мир-работы
Х
Хобби-и-рукоделие
И
Искусство-и-развлечения
В
Взаимоотношения
З
Здоровье
К
Кулинария-и-гостеприимство
Ф
Финансы-и-бизнес
П
Питомцы-и-животные
О
Образование
О
Образование-и-коммуникации
milanskab23
milanskab23
27.01.2022 14:48 •  Математика

Решить и оформить решение : 1) найдите длины сторон прямоугольника, периметр которого равен 32 см, а площадь равна 55 кв. см. 2) моторная лодка км по течению реки и 36 км по озеру, затратив на весь путь 5 часов. найдите собственную скорость лодки, если скорость течения реки равна 2 км/ч.

👇
Ответ:
SovaZ
SovaZ
27.01.2022
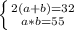
1) \left \{ {{2(a+b)=32} \atop {a * b = 55}} \right.

\left \{ {{a+b = 16} \atop {a*b = 55}} \right.

\left \{ {{a = 16 - b} \atop {(16-b)*b = 55}} \right.

16b - b^{2} = 55

b^{2} - 16b + 55 = 0

(b -5)(b - 11) = 0
Получается что b1 = 5, b2 = 11
Тогда a1 = 16 - 5 = 11
a2 = 16 - 5 = 11
ответ: а1 = 11, b1 = 5; a2 = 5, b2 = 11
4,4(12 оценок)
Открыть все ответы
Ответ:
fur5
fur5
27.01.2022

очень

Выпишите из текста слова с чередующейся гласной в корне слова, графически выделите орфограмму.

текст на фото

На горизонтальном участке дороги1. Империя- это:

А) свод законов В) изделие ремесленника С) крупное государство

2. Когда впервые в истории человечества было заключено мирное соглашение между

Египтом и Хеттским царством?

А) В 1298 г. до н.э. В) В 1297 г. до н.э. С) В 1296 г. до н.э.

3. Результатом перемирия между Египтом и Хеттским царством стало:

А) Разделение Сирии В) Передача Малой Азии египтянам С) возврат Вавилона.

Задание 3. Составьте предложения с использованием терминов колесница, империя.

Определите с какой целью созданы колесницы? Как создавались империи? / /

Задание 4.

Установите соответствие.

1. Ассирийская

держава

А. Царь Кир II покорил Мидию, Элам, сделал Сузы столицей.

Затем присоединил Лидию и установил контроль над

Вавилонской империей.

2. Нововавилонская

империя

Б. Ее интересовало Восточное Средиземноморье район,

богатый природными ресурсами. Через крупные города, такие

как Тир, Дамаск, проходили международные сухопутные и

морские торговые пути.

3. Персидская держава В. Цари подчинили себе большую часть Месопотамии. Затем

захватили Сирию, Финикию, Палестину.

/ /

Задание 5.

Допиши предложения.

1. Завоеванные территории Ассирия разделила на.

2. Его называли «царем царей» / /

3. Всего автомобиль двигался со скоростью 10 м/с в течение 1200 с, а затем проехал спуск длиной 12000 м за 600 с. Определите среднюю скорость автомобиля на всем пути.

4,8(97 оценок)
Ответ:
Semen911
Semen911
27.01.2022
3)Обчислити вирази
1км= 1000 м
218 км 400 м :8 =(218•1000м+400м ):8=
218400м :8= 27300 м = 27300м:1000=27км 300м

1т=1000кг
2т 035кг :5 кг = (2•1000кг+35кг):5кг= 2035кг:5кг= 407 раз

4)виконати дії

101100- (50442 :6+ 28799) = 63694.
1)50442:6= 8407
2)8407+28799=37406
3)101100-37406= 63694

5)розв'язати задачі
А) сторона трикутника = 8см
У трикутника рівностороннього три сторони одинакові
Периметр це сума всіх сторін
Р=8+8+8=8•3=24 см периметр трикутника і це периметр квадрата
У квадрата 4 одинакові сторони
24:4=6 см сторона квадрата
Площа квадрата = сторона в квадраті
S=6•6=36 см кВ
Відповідь: площа квадрата 36 см кв.

Б) 7 ткаль за 5 дн= 1470 м тканини
1)) 1470м :5= 294м виткали за 1 день 7 ткаль
2)) 294:7= 42м виткала 1 ткаль за 1 день
3)) 42•6= 252м виткала 1 ткаль за 6 днів
Відповідь: 1 ткаль за 6 днів витяг 252 метри тканини

В))
1)) 5-3= 2кн більше Наталка давала Оленці
2)) 12:2= 6 раз обмінювали книги
Відповідь: дівчатка обмінювались книгами 6 раз
4,6(6 оценок)
Это интересно:
Новые ответы от MOGZ: Математика
logo
Вход Регистрация
Что ты хочешь узнать?
Спроси Mozg
Открыть лучший ответ