М
Молодежь
К
Компьютеры-и-электроника
Д
Дом-и-сад
С
Стиль-и-уход-за-собой
П
Праздники-и-традиции
Т
Транспорт
П
Путешествия
С
Семейная-жизнь
Ф
Философия-и-религия
Б
Без категории
М
Мир-работы
Х
Хобби-и-рукоделие
И
Искусство-и-развлечения
В
Взаимоотношения
З
Здоровье
К
Кулинария-и-гостеприимство
Ф
Финансы-и-бизнес
П
Питомцы-и-животные
О
Образование
О
Образование-и-коммуникации
devyticlassnicadf17
devyticlassnicadf17
18.12.2021 15:27 •  Математика

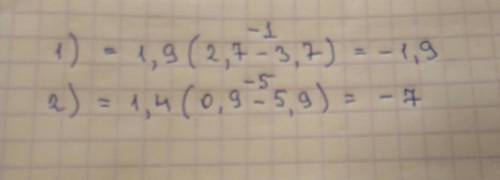
Вынесите общий множитель за скобки и найдите значения выражения 1) 2,7*1,9-3,7*1,9=.. 2) 1,4*0,9-1,4*5,9=..

👇
Ответ:
vanyaburundukov
vanyaburundukov
18.12.2021
Фоточка тебе в
Вынесите общий множитель за скобки и найдите значения выражения 1) 2,7*1,9-3,7*1,9=.. 2) 1,4*0,9-1,4
4,4(73 оценок)
Открыть все ответы
Ответ:
Olegarxi
Olegarxi
18.12.2021

Длина стола 2,2 м. 2,2: 0,5 = 4,4 (чел) Ясно, что усадить можно только 4-х человек, останется ещё 0,2м.

Переходим на ширину. Там 0,5 м уже занято тем, кто сидит на углу. Остаётся 1,2-0,5 = 0,7м. Ясно, что тут можно посадить только одного человекаи 0,2м останется.

Переходим на вторую длинную сторону. на углу никого нельзя посадить, т.к. там по ширине свободно только 0,2м. Значит, пропускаем 0,5м и свободно на этой стороне

2,2-0,5 = 1,7м. делим на 0,5. 1,7:0,5 = 3,4. Ясно, что на этой стороне можно посадить 3-х человек.

Итого: 4 + 1 + 3 = 8(человек).

Попробую следать рисунок

   о     :   о   :   о    :   :

.  о    ::

:

:  о    :    о   :    о   :   о    :   :

4,8(21 оценок)
Ответ:
seregaushakov13
seregaushakov13
18.12.2021
1. Количество монет
a+b+c=25
Сумма
a+2b+5c=100
Получаем систему 2 уравнений с 3 неизвестными, которую нужно решить в натуральных числах.
Вычитаем из 2 уравнения 1 уравнение
b+4c=75
b=75-4c, при этом b+c<=25
c=17; b=75-4*17=7; a=25-17-7=1
c=18; b=75-4*18=3; a=25-18-3=4
Других вариантов нет.
ответ: 1+7*2+17*5; 4*1+3*2+18*5
2. 2017=1*2017 - простое число.
Сумма цифр должна быть равна 1, а количество цифр 2017. Потому что количество цифр не может быть 1.
Это число 1 с 2016 нулями, то есть 10^2016.
3. Петя написал какое-то число 100a+10b+c (трехзначное число в общем виде).
Потом он написал все перестановки:
100a+10b+c, 100a+10c+b, 100b+10a+c, 100b+10c+a, 100c+10a+b, 100c+10b+a.
Сумма этих 6 чисел
100(2a+2b+2c)+10(2a+2b+2c)+(2a+2b+2c)=111(2a+2b+2c)
Число 2775=111*25
Но сумма в скобках должна быть чётной. Значит, две цифры были равны друг другу и перестановок было только 3.
100a+10a+b, 100a+10b+a, 100b+10a+a.
Их сумма равна
100(2a+b)+10(2a+b)+(2a+b)=111(2a+b)
Значит, 2a+b=25=7+9+9=8+8+9.
ответ: 799 или 889.
4,5(32 оценок)
Это интересно:
Новые ответы от MOGZ: Математика
logo
Вход Регистрация
Что ты хочешь узнать?
Спроси Mozg
Открыть лучший ответ