М
Молодежь
К
Компьютеры-и-электроника
Д
Дом-и-сад
С
Стиль-и-уход-за-собой
П
Праздники-и-традиции
Т
Транспорт
П
Путешествия
С
Семейная-жизнь
Ф
Философия-и-религия
Б
Без категории
М
Мир-работы
Х
Хобби-и-рукоделие
И
Искусство-и-развлечения
В
Взаимоотношения
З
Здоровье
К
Кулинария-и-гостеприимство
Ф
Финансы-и-бизнес
П
Питомцы-и-животные
О
Образование
О
Образование-и-коммуникации
ApTeM098
ApTeM098
23.11.2021 08:27 •  Математика

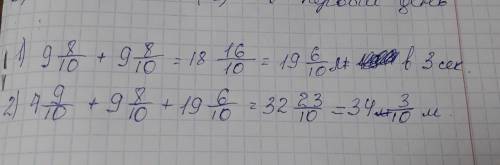
Камень, брошенный вниз, пролетает в первую секунду 4 9/10 м, а в каждую следующию секунду на 9 8/10 м больше, чем в предыдущую. найди глубину ущелья, если брошенный в него камень летит до дна в течении 3 секунд. а я потом если будет нужно вам

👇
Ответ:
Птичка220903
Птичка220903
23.11.2021
Кажется так...........
Камень, брошенный вниз, пролетает в первую секунду 4 9/10 м, а в каждую следующию секунду на 9 8/10
4,4(1 оценок)
Открыть все ответы
Ответ:
Egor24690
Egor24690
23.11.2021
Было лето.Мы с семьей решили отправиться в путешествие,а именно на материк-Северная Америка.Мы составили огромный список городов,которые нам нужно посетить.Например:Нью-Йорк,Лос-Анджелес, Мехико,Чикаго и другие.Вот настал день долгожданного путешествия,мы собрали вещи и отправились в аэропорт.Мы быстро сдали вещи и сели в самолет.Поездка обещала быть долгой.
Когда мы наконец-то прибыли,стояла ночь.Мы отправились в свой номер,чтобы переночевать,а на утро отправиться на экскурсии.Было безумно красиво.В этих городах были прекрасные достопримечательности,много красивых домов и красивейшая природа.
Вскоре,настало время уезжать.После поездки у нас осталось много сувениров и хороший воспоминания.
4,4(96 оценок)
Ответ:
аннушка2935
аннушка2935
23.11.2021
Майк - n мячей.
Предположим, что 3 других игрока: n+1; n+2; n+3
n+n+1+n+2+n+3>20
4n+6>20
4n>14
n>3.5
Значит Майк забросил больше, чем 3.5 мяча.
Проверка:
     Если n=4, то n+1=5; n+2=6; n+3=7;
                       5+6+7=18; 18<20.
Если n=5, то n+1=6; n+2=7; n+3=8;
                        6+7+8=21; 21>20
20-18=2 - 2 не хватает
21-20=1 - 1 лишний
(5+2)+6+7=20. но 5+2=7, а игроки забросили разное количество мячей;
5+(6+2)+7=5+8+7=20 - данный расклад подходит по всем параметрам.
    Максимальное количество бросков игрока из тройки, который забросил меньше всех мячей = 5, значит максимальное количество мячей Майка = 4.
     ответ: (Б)4
4,7(86 оценок)
Это интересно:
Новые ответы от MOGZ: Математика
logo
Вход Регистрация
Что ты хочешь узнать?
Спроси Mozg
Открыть лучший ответ