М
Молодежь
К
Компьютеры-и-электроника
Д
Дом-и-сад
С
Стиль-и-уход-за-собой
П
Праздники-и-традиции
Т
Транспорт
П
Путешествия
С
Семейная-жизнь
Ф
Философия-и-религия
Б
Без категории
М
Мир-работы
Х
Хобби-и-рукоделие
И
Искусство-и-развлечения
В
Взаимоотношения
З
Здоровье
К
Кулинария-и-гостеприимство
Ф
Финансы-и-бизнес
П
Питомцы-и-животные
О
Образование
О
Образование-и-коммуникации
Juicemonk3000
Juicemonk3000
24.07.2021 15:36 •  Математика

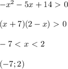
Найдите область определения функции y=lg(-x^2-5x+14)

👇
Ответ:
eva301
eva301
24.07.2021
-x^2-5x+14\ \textgreater \ 0\\\\(x+7)(2-x)\ \textgreater \ 0\\\\-7\ \textless \ x\ \textless \ 2\\\\(-7;2)
4,8(92 оценок)
Открыть все ответы
Ответ:
радмирик
радмирик
24.07.2021
1способ 100% весь периметр прямоугольника, то  есть сколько-то % ширина прямоугольника + сколько-то % длина прямоугольника= 100% периметр прямоугольника. от 100% +10% -20% = 90% теперь периметр прямоугольника. 100% - 90% = 10%, значит на 10% уменьшился периметр прямоугольника. 2 способ  х - ширина прямоугольника 4х - длина прямоугольника х + 4х= периметр прямоугольника, он 100% 5х=100% х=100/5 x=20% - это ширина прямоугольника в % 4х =4* 20%=80% - это длина прямоугольника в % так как ширину увеличили на 10% , то 20 % + 10%= 30% новая  ширина прямоугольника в %.а так как длину уменьшили на 20% , то 80%- 20% = 60% новая  длина прямоугольника в %.значит новый периметр прямоугольника в   %  будет таким: 60% + 30%= 90% теперь определим на сколько %   изменился  периметр  прямоугольника: 100% - 90% = 10%, т.е.  периметр  прямоугольника изменился на 10%.
4,4(27 оценок)
Ответ:
LutsenkoRodion
LutsenkoRodion
24.07.2021
Человек, его внешний облик, занимаемое им положение в обществе, его увлечения, духовный мир – тема портретиста. все эти стороны ярко раскрывает цвет. через пластику цвета художник выражает чувства человека. цвет, используемый в портрете будет так же зависеть от выбранного вида портрета. если портрет лирический, то это могут быть приглушенные светлые тона, задумчиво – – то в этом случае будет другое колористическое решение рисунка. ф. а. малявин (1869 – 1940) – знаменитый живописец, прославившийся серией "цветущих баб", выполненных в стиле "модерн". считается, что "крестьянка в красном платье" – одна из лучших его работ. с холста на нас с вызовом смотрит экспрессивная, надменная, самоуверенная женщина. полыхающий цвет ее кофты в сочетании с оливковым тоном лица усиливает образ. красный в одежде – символ амбициозной, импульсивной, легко возбудимой и энергичной личности. иван яковлевич вишняков "портрет анны леопольдовны в оранжевом платье". и. я. вишняков (1699 – 1761) – один из самых признанных художников-портретистов, представитель стиля рококо. его самобытная манера и живописная техника лишена пафоса и надуманности. интересный факт: первоначально анна леопольдовна была изображена в ярко-синем платье, так показала рентгенограмма. возможно, первый портрет был выполнен во времена, когда она не была правительницей. в оранжевое платье анну леопольдовну "переодели" к xix веку. этот цвет в одежде выбирают люди действия, часто нетерпеливые, независимые, целеустремленные, сведущие во многих сферах. кес ван донген (нидерл. kees van dongen; настоящее имя нидерл. cornelis theodorus maria van dongen) (1877 – 1968) – известный голландский художник. его работы высоко ценятся среди частных коллекционеров, готовых приобретать полотна за миллионы долларов. например, картина "женщина в зеленом трико" на торгах "кристи’с" была куплена за 1,1 миллиона фунтов. насыщенный зеленый, с подчеркнуто энергичным контуром, без светотеней и проработок деталей, придает портрету особую декоративность. женщина в зеленом – гуманист, тонко чувствующий реальность, склонный наблюдать, а не действовать. вот так, взирая из-под маски с полотна ван донгена, она и ныне остается загадкой, не раскрывшей своего лица. пьер огюст ренуар "женщина в черном" (1876). пьер огюст ренуар (фр. pierre-auguste renoir) (1841 – 1919) – известный на весь мир французский живописец, один из представителей течения "импрессионизм". глядя на его работы сложно поверить, что судьба художника оказалась трагичной. ренуар, практически парализованный артритом, превознемогая боль, продолжал писать. гласит, что однажды, наблюдая за тем, с какой болью даётся ему каждый мазок кисти, матисс не выдержал и спросил: "огюст, почему вы не оставите живопись, вы же так страдаете? " ренуар ограничился лишь ответом: "боль проходит, а красота остается" ("la douleur passe, la beauté reste"). мягкая и пластичная манера письма создает тонкий и чувственный образ женщины в черном. классический черный выбирают люди уверенные в себе, авторитетные, стремящиеся к внутреннему самоконтролю. однако такой выбор цвета может говорить о том, что человек пытается отстраниться от окружающих, дистанцироваться.
4,6(44 оценок)
Новые ответы от MOGZ: Математика
logo
Вход Регистрация
Что ты хочешь узнать?
Спроси Mozg
Открыть лучший ответ